Un enfoque de SIG-AHP para determinar la sustentabilidad productiva para el Páramo de Santurbán, Colombia

 

Norberto Díaz1

Amado A. Guerrero2

Eddy Johanna Fajardo3

 

Recibido: 27 de febrero de 2024 - Aceptado: 4 de marzo de 2024 - Actualizado: 06 de noviembre de 2024

 

DOI: 10.17151/luaz.2023.57.8

 

Resumen

 

Esta investigación desarrolla un marco de evaluación de sustentabilidad productiva para el Complejo de alta montaña del Páramo de Santurbán, proporcionando un sistema de apoyo de decisiones basado en Sistemas de Información Geográfico (SIG) en vista de la ausencia de herramientas para estimar la sustentabilidad. Esta investigación buscó validar una herramienta para tener una estimación sobre las dos principales actividades productivas agropecuarias que se desarrollan en este espacio de conservación. Se evaluó la sustentabilidad a través de una herramienta (SIG) la cual incorpora el Proceso Analítico Jerárquico (AHP) para incluir el concepto de expertos. Además, se emplea la descomposición en criterios múltiples basados en cuatro indicadores económicos, sociales, ambientales e institucionales. Se encuentra para el Páramo de Santurbán que el 52% del territorio presenta sustentabilidad fuerte, mientras que, con sustentabilidad media, se encuentra el 48% del territorio restante. Por esta razón, las actividades agropecuarias representan una ventaja desde la sustentabilidad para sus territorios a consecuencia del espacio geográfico donde estas se desarrollan. Se hace necesario que se establezcan límites para el desarrollo de dichas actividades. Con este trabajo se adelanta por primera vez una estimación sobre la sustentabilidad de las actividades agropecuarias para el Páramo de Santurbán.

 

Palabras claves: sustentabilidad, Análisis Espacial Multicriterio, Complejo de montaña del Páramo de Santurbán, Sistemas de Información Geográfica, Proceso Analítico Jerárquico (AHP), área protegida.

 

A GIS-AHP approach to determine productive sustainability for the Santurbán Páramo, Colombia

 

Abstract

 

This research develops a productive sustainability evaluation framework for the High Mountain Complex of the Páramo de Santurbán, providing a decision support system based on Geographic Information Systems (GIS) in view of the absence of tools to estimate sustainability. This research sought to validate a tool to estimate the two main agricultural and livestock productive activities developed in this conservation area. Sustainability was evaluated through a tool (GIS) which incorporates the Analytical Hierarchical Process (AHP) to include the concept of experts. In addition, the decomposition into multiple criteria based on four economic, social, environmental and institutional indicators is used. For the Páramo de Santurbán, 52% of the territory shows strong sustainability, while 48% of the remaining territory shows medium sustainability. For this reason, agricultural activities represent an advantage in terms of sustainability for their territories as a result of the geographic space where they are developed. It is necessary to establish limits for the development of these activities. With this work, for the first time, an estimation of the sustainability of agricultural activities for the Páramo de Santurbán is made.

 

Key words: sustainability, Multicriteria Spatial Analysis, Páramo de Santurbán Mountain Complex, Geographic Information Systems, Analytical Hierarchical Process (AHP), protected area.

 


 

Introducción

 

La problemática de la megaminería y las economías extractivas se ha caracterizado por “sobreexplotación de los recursos, degradación ambiental. Así, como la pérdida de fertilidad de los suelos, la destrucción de recursos y pérdida de capacidad productiva de los ecosistemas” (Leff, 1994, p. 353). Así mismo, el informe de Forest Trends (2008) sobre pago por servicios ambientales menciona que a consecuencia de la dinámica de generación de energía, producción y consumo se han mejorado el bienestar humano y el desarrollo económico de los países sin considerar su transformación, degradación y el uso sostenible del ecosistema. A consecuencia de estas actividades, se ha puesto en peligro la subsistencia de estos ecosistemas en el largo plazo en áreas de provisión de servicios ambientales, sean ellos de provisión, regulación, de cultura o soporte.

 

En Colombia, el Páramo de Santurbán no es ajeno a la dinámica extractiva a consecuencia de las actividades agropecuarias intensivas y en expansión que allí se desarrollan, las cuales generan una transformación, alteración de la regulación hídrica y ecosistémica que afectan a poblaciones en dos departamentos en Colombia.

 

Por esta razón, el presente artículo de investigación buscó adelantar una estimación sobre las dos principales actividades productivas agropecuarias que se desarrollan en el espacio de conservación para el Páramo de Santurbán. A través de la siguiente pregunta de investigación ¿cómo se encuentra la sustentabilidad productiva de las actividades agropecuarias en el Páramo de Santurbán?

 

A continuación, se presenta una revisión de trabajos que han abordado la herramienta que ha sido incorporada al SIG como lo es el Análisis Multicriterio —AMC— (Tabla 1).

 

Tabla 1. Revisión de antecedentes AMC, SIG y AHP

 

Nota. Esta recopilación fue realizada por parte de los autores, donde se describe su año de publicación, metodología utilizada, campo de aplicación, criterios utilizados y aporte realizado.

 

Trabajos como los de Gamboa y Munda (2007), Mesa et al. (2008), Garmendia et al. (2010), Bellver y Guitart (2007) y Chaves (2011) realizan AMC para integrar la toma de decisión respecto a las preferencias sociales que determinan el desarrollo de un proyecto para un territorio, evaluación de alternativas o manejo de recursos naturales. Para estos trabajos, se observa como una limitante su unidad de análisis no fue posible desagregar a mayor detalle.

 

Esta metodología también ha sido utilizada para valorar activos ambientales de espacios de conservación como el trabajo desarrollado para evaluar la sustentabilidad de sistemas productivos agrícolas desarrollado por Kamali et al. (2017) y Talukder et al. (2018) donde se destaca la utilización de AMC para analizar la sustentabilidad y para incorporar el trabajo con expertos.

 

Mientras que trabajos más recientes como los de Boggia et al. (2018), Muhsin et al. (2018) y Omarzadeh et al. (2022) han incorporado el factor espacial al análisis multicriterio para determinar la sustentabilidad de un complejo industrial, de una región ecoturística y planeación regional. El uso de esta metodología ha permitido llevar la unidad de análisis de forma desagregada, aumentando el volumen de información analizada, indicadores y criterios utilizados. Además, se ha venido incorporando el AHP para para priorizar estos criterios basándose en opinión de expertos.

 

Así mismo, el trabajo de El Jazouli et al. (2019) hace uso del enfoque multicriterio espacial basado en SIG para determinar la cartografía de inventario de susceptibilidad a los deslizamientos de tierra situada en la región montañosa del Atlas Medio en Túnez, Argelia y Marruecos.

 

Por su parte, para Boroushaki y Malczewski (2008), la base central del Análisis Espacial Multicriterio (AEMC) es el concepto de reglas de decisión o algoritmos de evaluación; además, el análisis de decisión multicriterio basado en SIG puede ser definido como un proceso que integra y transforma datos geográficos (mapa de criterio) y juicios de valor (las preferencias del tomador de decisiones e incertidumbres) para obtener la evaluación total de las alternativas de decisión.

 

Otros trabajos que han usado el AMC con Sistemas de Información Geográfico (SIG) son los realizados por Franco (2011), Esse et al. (2014) y Garcés (2015). Estos trabajos destacan la capacidad de los SIG para adquisición de datos, almacenamiento, manejo y análisis, además de la capacidad de entrelazar información geográfica y la visión de expertos para el tema analizado. En esta metodología convergen las bondades de la suma ponderada del AMC y el factor espacial que permite trabajar con diferentes unidades espaciales.

 

También desde trabajo de revisión de literatura, Cicciù et al. (2022) destacan trabajos que integran SIG para abordar la información espacial y AHP que permite la integración de expertos, los cuales han venido en auge en los últimos cinco años; el trabajo colaborativo de estas dos metodologías permite evaluar la sustentabilidad productiva para espacios geográficos.

 

También, Raihan (2024) desde una revisión sistemática agrega que el uso de SIG en agricultura complementa la metodología SIG con AHP. La cual es ampliamente utilizada para evaluar la sustentabilidad en la agricultura utilizando datos espaciales y trabajo con expertos, integrando así diversos indicadores y criterios para la toma de decisiones en espacios geográficos.

 

Además, se pueden revisar trabajos como los de Bartzas y Komnitsas (2020), D’Ambrosio et al. (2018), Veisi et al. (2022), Dal Moro et al. (2023), Hagagg et al. (2023) y Reimov et al. (2023) donde se expone una integración de metodología para realizar evaluación de la sustentabilidad aplicada a un área específica o estudio de caso para actividades productivas agropecuarias. Producto de esta revisión se destaca la utilización de metodologías SIG para incorporar el componente espacial y manejo de criterios y, por otro lado, la integración de trabajo de expertos aplicando la metodología de AHP.

 

El objetivo principal de este artículo fue colmar el vacío existente a través de un análisis regional que permita tener una primera estimación sobre sustentabilidad, de cómo se desarrollan las actividades agropecuarias para el Páramo de Santurbán utilizando la metodología de SIG-AHP.

 

 


 

Materiales y métodos

 

Área de estudio

 

El Páramo de Santurbán se encuentra ubicado en el extremo nororiental de la Cordillera Oriental de Colombia, y tiene jurisdicción directa en dos departamentos: Santander y Norte de Santander (Figura 1). Además, se encuentra conformado por 29 municipios, abastece de agua a estos municipios y a una población de más de 2.200.000 de habitantes para un total de 98.000 hectáreas. Para este estudio se va a trabajar a un nivel de detalle de 1:25.000.

 

 

Figura 1. Ubicación del Páramo de Santurbán en Colombia.

Fuente: adaptado de Ministerio de Medio Ambiente y Desarrollo (2014).

 

En los apartados siguiente se va a presentar la información de la siguiente manera: en un primer momento, se muestra la captura de los indicadores, la determinación de las capas significativas, el proceso de reclasificación y transformación, definición de pesos y el funcionamiento de la herramienta de superposición ponderada. La metodología propuesta para esta investigación propone un AMC apoyada por SIG que se basa en la herramienta de superposición espacial de variables. A continuación, se presenta el diagrama de flujo que muestra proceso para desarrollar el AMC para el Páramo de Santurbán (Figura 2).

 

Figura 2. Diagrama de los procesos desarrollados AMC para el Páramo de Santurbán.

Nota. Elaboración propia donde se incorpora el AHP para ponderar los criterios utilizados en el análisis para el grupo de expertos consultados.

 

Los trabajos presentados en la Tabla 1 sobre evaluación de la sustentabilidad han partido su análisis de cuatro criterios para analizar la sustentabilidad: ambiental, social, económica e institucional. En la Figura 2, como se mostró, se presenta un resumen gráfico de los indicadores que fueron seleccionados para realizar la evaluación de sustentabilidad, los cuales fueron agrupados respectivamente por factores y criterios, respectivamente: ambiental (11), económico (10), institucional (5) y social (4). Los indicadores fueron estandarizados dentro del rango entre O y 1.

 

El diagrama de flujo (Figura 2) muestra el proceso del AMC apoyado por SIG para realizar la superposición ponderada; en una primera etapa muestra el proceso para la construcción de la base de datos espacializada (geodatabase). Después de construido el geodatabase se generan los rásteres por indicador, se clasifican los indicadores de acuerdo con la escala de sustentabilidad y se desarrolla la visión de manejo para la asignación de los pesos por criterio, factor e indicador de acuerdo con el método AHP; después de la gestión de los pesos, se corre el modelo espacial a través de la herramienta superposición ponderada.

 

Captura de indicadores

 

El tipo de evaluación que se desarrolló con este trabajo es de tipo ex ante, el cual se caracteriza para servir como un método de planificación (Astier et al., 2008) y respecto a la gestión de indicadores, fueron seleccionados a través de criterio top-down con el método de AHP que permite trabajar con un grupo de expertos.

 

La fuente de los datos para el desarrollo de esta investigación fue obtenida a través de datos abiertos del Departamento Nacional de Planeación (DNP) y microdatos del Censo Nacional Agropecuario 2014 (DANE, 2014). Para la selección de los indicadores utilizados se tuvieron en cuenta los siguientes factores: primero, datos actualizados o última versión; segundo, datos espaciales; tercero, evaluables y representativos; y cuarto, seleccionar el menor número de variables.

 

A continuación, se describen los indicadores que fueron seleccionados para el desarrollo de esta investigación por criterio (Tabla 2).

 

Tabla 2. Indicadores seleccionados por criterios de evaluación de la sustentabilidad productiva para el Páramo de Santurbán

 

Nota. Elaboración propia con base en datos del Censo Nacional Agropecuario 2014 (DANE, 2014).

 

Definición de pesos

 

En un apartado anterior se presentó el árbol de jerarquías (Figura 2) para determinar la sustentabilidad de los sistemas productivos agropecuarios para el Páramo de Santurbán por el método AHP. Se destacan para esta metodología los criterios, factores e indicadores, respectivamente, que presentan un peso diferente; pesos que fueron determinados a través de la metodología AHP. Además, la figura incluye la escala que evalúa la sustentabilidad para cada indicador, factor y criterio.

 

A cada criterio se le asignó un peso de acuerdo con su importancia; este peso asignado se realizó a través del método AHP producto del trabajo individual con expertos. A su vez, a todos los factores e indicadores que constituyen cada criterio, se les asignó un peso, de acuerdo con su importancia dentro de la evaluación del impacto de expansión de la frontera agropecuaria y el uso de agroquímicos para el Páramo de Santurbán.

 

Este apartado, hace una revisión de la importancia de utilizar Análisis Multicriterio (AMC) para la toma de decisiones y cómo se ha venido integrando el factor espacial a dicho análisis, el cual ha permitido integrar los SIG en la adquisición de datos, almacenamiento, manejo y análisis en relación con trabajos de la sustentabilidad y valoración ambiental.

 

La metodología AMC ha sido aplicada en diferentes disciplinas. De acuerdo con Nijkamp et al. (2013):

 

El AMC puede definirse como un conjunto de técnicas orientadas a asistir en los procesos de toma de decisiones. La finalidad de estas técnicas es investigar un número de alternativas a partir de múltiples puntos de vista, criterios y objetivos en conflicto. (p. 2)

 

Cabe agregar, y acorde con Riascos (2010), que la ventaja de aplicar el AMC es que permite realizar una combinación de análisis de datos cuantitativos y cualitativos donde se utiliza el método de suma ponderada.

 

Además, en concordancia con Munda (1995). “esta metodología permite interactuar con diversos criterios (cuantitativos, cualitativos o ambos) además puede incluir varias dimensiones de un problema: económicas, sociales y ambientales” (p. 57). La metodología de AMC ha sido ampliamente desarrollada desde diversas disciplinas y con extensas aplicaciones dentro del campo ambiental y de la sustentabilidad.

 

La contribución del presente trabajo de investigación parte de la herramienta del AMC donde integra herramientas SIG que permiten la adquisición de datos, almacenamiento, manejo y análisis para la evaluación de la sustentabilidad en el Páramo; esta herramienta aporta en la toma de decisiones y la planeación del territorio.

 

Para la asignación de los pesos de los rásteres de entrada se utilizó el método AHP como se mostrará al detalle en los apartados que se presentan a continuación.

 

Se determinó para este trabajo hacer uso del método de AHP dado que este permite agregar la opinión de los expertos a través de la comparación pareada. Además, permite afrontar problemas con múltiples criterios y una cantidad determinada de alternativas; el método AHP permite fraccionar y organizar los problemas de manera gráfica y ordenada de las jerarquías. Este método ha sido ampliamente utilizado en la toma de decisiones.

 

De acuerdo con el profesor Saaty (1990):

 

El AHP hace posible la toma de decisiones grupal mediante el agregado de opiniones, de tal manera que satisfaga la relación recíproca al comparar dos elementos. Luego toma el promedio geométrico de las opiniones. Cuando el grupo consiste en expertos, cada uno elabora su propia jerarquía, y el AHP combina los resultados por el promedio geométrico. (p. 10)

 

Herramienta superposición ponderada

 

Este modelo permite integrar información espacial con los diferentes criterios e indicadores en una estructura jerárquica. Los pesos fueron asignados de acuerdo con el AHP; pesos definidos a juicio de expertos. Al final se obtiene el modelo para determinar la sustentabilidad productiva de las actividades agropecuarias para el Páramo de Santurbán. A continuación, se presenta el modelamiento respectivo para el AMC apoyado por SIG.

 

La metodología propuesta se basa en la superposición espacial de variables, en donde a cada criterio se le asigna un peso de acuerdo con su importancia. A su vez, a todos los indicadores que constituyen un criterio se les asigna un peso de acuerdo con su importancia, dado por el trabajo de expertos dentro de la evaluación de sustentabilidad productiva.

 

La herramienta superposición ponderada multiplica los valores de celda de cada ráster de entrada por el peso de importancia de los rásteres y suma los valores de celda resultantes para producir el ráster de salida.

 

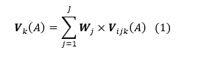
La matriz de pesos es una matriz rectangular WR^J ×I, donde J representa el número de criterios e I la cantidad de índices. Por su parte, el hipercubo de V RI×J ×K, siendo I el número de indicadores, J la cantidad de criterios y K el número de veredas.

 

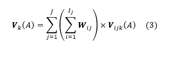
La ecuación (1) representa el valor global de la alternativa respecto a la vereda. La alternativa es cada una de las intersecciones i y j donde V_K(A)  es la combinación lineal de los pesos Wj y el valor de la alternativa V ijk (A), los índices i, j, k representan el índice de indicadores, criterios y veredas, respectivamente, este hipercubo representa la concatenación de alternativas por vereda.

 

 

Donde:

V K (A)=Valor global de la alternativa respecto a la vereda.

W j=Peso respecto al indicador j.

V ijk (A)= Calificación de la alternativa respecto al indicador i, por criterio j y por vereda k.

J=Número de criterios.

I=Número de índices.

K=Número de veredas.

i=Índice de indicadores.

j=Índice de criterios.

k=Índice de veredas.

 

La ecuación (2) representa el valor peso Wj respecto a los criterios j, es igual a la sumatoria de pesos Wij respecto a los indicadores i y los criterios j.

 

 

Reemplazando la ecuación (2) dentro de la ecuación (1) se obtiene el valor global de la alternativa respecto a la vereda VK (A), ecuación (3), donde es igual a la sumatoria respecto a las veredas de la sumatoria de los pesos Wij respecto a los índices y criterios multiplicado el valor de la alternativa respecto al indicador, criterio y vereda.

 

De forma gráfica se pueden revisar las figuras 3 y 4,

 

 

Figura 3. Matriz W de pesos de criterios.

Nota. Elaboración producto del trabajo de investigación.

 

 

Figura 4. Matriz V de pesos de calificación de la alternativa.

Nota. Elaboración producto del trabajo de investigación.

 

La contribución de este trabajo de investigación parte de la herramienta de Análisis Espacial Multicriterio donde integra herramientas SIG que permite la adquisición de datos, almacenamiento, manejo y análisis para la evaluación de la sustentabilidad en el Páramo, esta herramienta aporta en la toma de decisiones y la planeación del territorio.

 


 

Resultados

 

El nivel de detalle en el que se abordó este trabajo de investigación fue veredal, la base de datos para la construcción de los indicadores fue el Censo Nacional Agropecuario 2014 del DANE (2014), y para realizar la evaluación de sustentabilidad productiva se construyeron 30 indicadores, los cuales fueron agrupados dentro de cuatro criterios definidos en la revisión de literatura.

 

Dentro de esta etapa, se partió de la base de datos donde cada indicador fue georreferenciado por vereda; las variables que se construyeron son de tipo dummy. El modelamiento de la información se realizó a través del software de uso libre Python con la herramienta de superposición ponderada.

 

Determinación de las capas significativas

 

Los indicadores que se consideraron significativos dentro de este estudio fueron transformados en ráster, el cual es una matriz de celdas organizado en filas y columnas en la que cada celda contiene un valor que representa la información, en este caso el valor del indicador por vereda (Figura 5).

 

 

Figura 5. Ráster para los criterios abordados.

Nota. Producto de este trabajo de investigación.

 

Como se muestra en la Figura 5, la transformación de cada indicador en una imagen ráster donde cada indicador se encuentra estandarizado entre 0 y 1; todos los indicadores tuvieron el mismo tratamiento siendo realizado para los demás 30.

 

Reclasificación y transformación

 

En este apartado los parámetros de sustentabilidad fueron reclasificados en tres clases para cada indicador: sustentabilidad débil (0-0.6), sustentabilidad media (0.6-0.8) y sustentabilidad fuerte (0.8-1). En este apartado se muestra la reclasificación de los valores en el ráster de entrada en una escala de evaluación común de sustentabilidad productiva (débil, media y fuerte) y el resultado producto de la reclasificación para cada indicador (Figura 6). En la presente investigación todos los indicadores tuvieron el mismo tratamiento.

 

 

Figura 6. Proceso de reclasificación del indicador C1.1.

Fuente: elaboración propia.

 

El diagrama (Figura 7) muestra el proceso del AMC, se presenta la visión de manejo para la asignación de los pesos por criterio, factor e indicador de acuerdo con el método AHP, después de la gestión de los pesos se corre el modelo espacial a través de la herramienta superposición ponderada.

 

Figura 7. Árbol de jerarquía para determinar la sustentabilidad de los sistemas productivos agropecuarios para el Páramo de Santurbán por el método AHP.

Nota. Producto del trabajo de investigación.

 

El diagrama de flujo (Figura 8) muestra el proceso del AMC apoyado por SIG con la superposición ponderada; en una primera etapa, se muestra el proceso para la construcción de la base de datos espacializada (geodatabase). Después de construido el geodatabase se generaron los rásteres por indicador, se clasifican los indicadores de acuerdo con la escala de sustentabilidad y se desarrolla la visión de manejo para la asignación de los pesos por criterio, factor e indicador de acuerdo con el método AHP; después de la gestión de los pesos, se corre el modelo espacial a través de la herramienta superposición ponderada para calcular la sustentabilidad productiva.

 

 

Figura 8. Diagrama de los procesos desarrollados AMC para el Páramo de Santurbán.

Fuente: elaboración propia.

 

A continuación, se muestran los porcentajes de sustentabilidad de acuerdo con los criterios utilizados dentro de este trabajo de investigación (Tabla 3).

 

Tabla 3. Porcentajes de sustentabilidad por criterios para el Páramo de Santurbán

 

Fuente: elaboración propia.

 

Producto de desarrollar el AMC con la respectiva superposición ponderada para determinar la sustentabilidad productiva para el Páramo de Santurbán, se encontró el 52% con sustentabilidad fuerte en veredas de los municipios Villa Caro, Labateca, Pamplona, Vetas, Tona, Silos, Piedecuesta, Mutiscua, Cácota, Chinácota, Bochalema; mientras que con sustentabilidad media se presenta el 48% de las veredas de los municipios de Ábrego, Villa Caro, Gramalote, Lourdes, Cáchira, Salazar, Arboledas, Suratá, Cucutilla, California, Charta, Tona, Silos, Cácota, Pamplona, Labateca y Toledo.

 

 

Figura 9. Análisis Espacial Multicriterio de sustentabilidad para el Complejo de alta montaña del Páramo de Santurbán por método AHP.

Fuente: elaboración propia.

 

La asignación de los pesos por criterios por el método AHP asignó al criterio ambiental un peso del 58%, al criterio social 22%, al criterio económico 10% y al criterio institucional 10%. La razón de esta asignación no obedece a que los expertos se encuentren sesgados, sino que esta valoración indica una razón de jerarquía del criterio ambiental sobre los demás.

 

Aunque el método AHP permite trabajar con un grupo de expertos de diferentes áreas del conocimiento y sobre el territorio, es importante aclarar que trabajar con expertos no garantiza de entrada la eliminación total de la subjetividad ya que estos procesos de incertidumbre harán parte de estos modelamientos. Pero sí es una herramienta que es de bastante utilidad y que ha permitido integrarse con los SIG como en el trabajo de Muhsin et al. (2018).

 

La participación de expertos fue una herramienta metodológica que se planteó para este trabajo de investigación que estuvo dado por dos factores: la extensión del Páramo de Santurbán (202 veredas distribuidas en 29 municipios) y la limitación financiera. Por esta razón, el uso de los sistemas de información se convierte en una herramienta que permite abordar gran volumen de datos espaciales e integra el concepto de expertos en la temática como en los trabajos recientes de Boggia et al. (2018), El Jazouli et al. (2019) y Omarzadeh et al. (2022).

  


 

Discusión

 

El Páramo de Santurbán tiene influencia en parte de dos departamentos, Santander y Norte de Santander, donde la actividad agropecuaria representa un 26% de la actividad económica. Además, una de las principales limitantes metodológicas viene a ser la misma área de influencia. Por tanto, la incorporación del uso de los SIG permitió abordar de forma integral el Páramo de Santurbán dentro de las limitaciones de información, temporalidad y representatividad.

 

Después de haber realizado el taller con expertos y definido los nuevos pesos para los criterios por el método AHP, queda claro que el factor ambiental resulta un criterio clave para analizar dado el espacio objeto de estudio, un espacio de conservación; donde una actividad económica no puede poner en peligro el espacio de páramo por importante que esta se considere para el desarrollo económico de un país o un departamento. El páramo no solo es importante para el sector agropecuario, sino que también es importante en la provisión de otros servicios ecosistémicos asociados a la provisión, regulación, soporte y servicios culturales.

 

También, es importante agregar que el uso de la metodología de los SIG para realizar una evaluación de sustentabilidad para el Páramo de Santurbán presenta ventajas considerables en materia de adquisición de datos, almacenamiento, manejo y análisis. Además, permite integrar la evaluación de los expertos.

 

Por otro lado, la selección de los criterios estuvo determinada de acuerdo con la revisión de literatura sobre sustentabilidad, y para la determinación de los indicadores estuvo limitado por la disponibilidad de información espacial siendo vereda la unidad espacial más pequeña analizada. Otros factores que limitaron el trabajo fueron la información actualizada, los datos evaluables y la representatividad para el mayor número de veredas.

 

Respecto a la metodología, se recomienda el uso del método AHP ya que presenta mayor robustez y seguridad al poder comprobar la coherencia de las calificaciones por parte de expertos.

 


 

Conclusión

 

El análisis de multicriterio permite poner en interacción muchos criterios que antes se habían considerado de manera aislada; además, realiza la selección de cuatro criterios para observar cómo se encuentra la sustentabilidad productiva para el Páramo de Santurbán. Producto de la evaluación de sustentabilidad se encontró para AEMC una sustentabilidad media del 48% y una sustentabilidad fuerte del 52%.

 

La evaluación de sustentabilidad concluye que las actividades agropecuarias presentan una ventaja competitiva y comparativa dentro del desarrollo de sus actividades agropecuarias a consecuencia del espacio de páramo donde estas se dan.

 

Pero es importante aclarar que en la actualidad no existen unos límites para el desarrollo de estas actividades productivas y se hace necesario que las entidades que tienen influencia en el área del Páramo de Santurbán establezcan unos límites para el desarrollo de las actividades agropecuarias donde se contemplen categorías para el desarrollo de procesos productivos de bajo impacto y donde generen estrategias direccionadas a potenciar y fortalecer la transición de cultivos con la incorporación de buenas prácticas agrícolas y el uso de tecnologías limpias.

 


 

Agradecimientos

 

Los autores agradecen a las entidades y personas que se vincularon a esta investigación e hicieron parte del grupo de trabajo con expertos: Corporación para la Defensa de la Meseta de Bucaramanga (CDMB), Corporación Autónoma de Santander (CAS), Corporación Autónoma Regional de la Frontera Nororiental (CORPONOR), Secretaría de Vivienda y Medio Ambiente de Norte de Santander y Funzizua. Además, se agradece a la Universidad Autónoma de Bucaramanga (UNAB) por el tiempo otorgado durante el proyecto con acta No. 007 y código I00139.

 


 

Referencias

 

Astier, M., Masera, O. R. y Galván-Miyoshi, Y. (2008). Evaluación de sustentabilidad: Un enfoque dinámico y multidimensional. SEAE Valencia.

 

Aznar Bellver, J., y Estruch Guitart, V. (2011). Valoración de activos ambientales mediante métodos multicriterio. Aplicación a la valoración del Parque Natural del Alto Tajo. Economía Agraría y Recursos Naturales (Internet), 7(13), 107-. https://doi.org/10.7201/earn.2007.13.06

 

Bartzas, G. y Komnitsas, K. (2020). An integrated multi-criteria analysis for assessing sustainability of agricultural production at regional level. Information Processing in Agriculture, 7(2), 223-232.

 

Boggia, A., Massei, G., Pace, E., Rocchi, L., Paolotti, L. y Attard, M. (2018). Spatial multicriteria analysis for sustainability assessment: A new model for decision making. Land Use Policy, 71, 281-292. https://doi.org/10.1016/j.landusepol.2017.11.036

 

Boroushaki, S. y Malczewski, J. (2008). Implementing an extension of the analytical hierarchy process using ordered weighted averaging operators with fuzzy quantifiers in ArcGIS. Computers y Geosciences, 34(4), 399-410. https://doi.org/10.1016/j.cageo.2007.04.003

 

Chaves Agudelo, J. (2011). Análisis multicriterio de la sustentabilidad ambiental de los sistemas productivos agropecuarios presentes en la alta montaña del complejo Páramo de Guerrero (tesis de maestría). Universidad Nacional de Colombia.

 

Cicciù, B., Schramm, F. y Schramm, V. B. (2022). Multi-criteria decision making/aid methods for assessing agricultural sustainability: A literature review. Environmental Science & Policy, 138, 85-96.

 

Colombia, Ministerio de Ambiente y Desarrollo Sostenible. (19 de diciembre de 2014). Resolución No. 2090. Por medio de la cual se delimita el Páramo Jurisdicciones - Santurbán - Berlín, y se adoptan otras determinaciones.

 

Dal Moro, L., Pauli, J., Maculan, L. S., Neckel, A., Pivoto, D., Laimer, C. G., Bodah, E. T., Bodah, B. W. y Do Carmo, V. (2023). Sustainability in agribusiness: Analysis of environmental changes in agricultural production using spatial geotechnologies. Environmental Development, 45, 100807.

 

D’Ambrosio, E., De Girolamo, A. M. y Rulli, M. C. (2018). Assessing sustainability of agriculture through water footprint analysis and in-stream monitoring activities. Journal of Cleaner Production, 200, 454-470.

 

DANE. (2015). Censo Nacional Agropecuario 2014. DANE. https://www.dane.gov.co/index.php/estadisticas-por-tema/agropecuario/censo-nacional-agropecuario-2014

 

El Jazouli, A., Barakat, A. y Khellouk, R. (2019). GIS-multicriteria evaluation using AHP for landslide susceptibility mapping in Oum Er Rbia high basin (Morocco). Geoenvironmental Disasters, 6(1), 1-12. https://doi.org/10.1186/s40677-019-0119-7

 

Esse, C., Valdivia, P., Encina-Montoya, F., Aguayo, C., Guerrero, M. y Figueroa, D. (2014). Modelo de análisis espacial multicriterio (AEMC) para el mapeo de servicios ecosistémicos en cuencas forestales del sur de Chile. Bosque (Valdivia), 35(3), 289-299. https://doi.org/10.4067/S0717-92002014000300004

 

Forest Trends. (2008). Payments for Ecosystem Services: Getting Started. https://wedocs.unep.org/bitstream/handle/20.500.11822/9150/payment_ecosystem.pdf?sequence=1&isAllowed=y

 

Franco, C. A. (2011). Desarrollo de un modelo basado en análisis espacial multicriterio para la determinación de unidades de ordenación forestal. Caso departamento del Casanare (tesis de maestría). Universidad Nacional de Colombia, Bogotá, Colombia.

 

Gamboa, G. y Munda, G. (2007). The problem of windfarm location: A social multi-criteria evaluation framework. Energy Policy, 35(3), 1564-1583. https://doi.org/10.1016/j.enpol.2006.04.021

 

Garcés, J. (2015). Aplicación de Evaluación Multicriterio y Sistemas de Información Geográfica para el modelado de la capacidad de acogida para la localización de viviendas de mediana densidad. Caso de estudio Cuenca del río Guadalajara (Valle del Cauca) (tesis de pregrado). Universidad del Valle, Cali, Colombia.

 

Garmendia, E., Gamboa, G., Franco, J., Garmendia, J. M., Liria, P. y Olazabal, M. (2010). Social multi-criteria evaluation as a decision support tool for integrated coastal zone management. Ocean y Coastal Management, 53(7), 385-403. https://doi.org/10.1016/j.ocecoaman.2010.05.001

 

Hagagg, K., Hussien, R., Rayan, R. y Ewes, R. (2023). Development of Sustainable Agriculture Land-Use Index in Arid Regions Using Analytical Hierarchy Process (AHP) and Remote Sensing. En A. A. Gad, D. Elfiky, A. Negm y S. Elbeih (Eds.), Applications of Remote Sensing and GIS Based on an Innovative Vision (pp. 317-324). Springer Nature Switzerland. https://doi.org/10.1007/978-3-031-40447-4_36

 

Kamali, F. P., Borges, J. A., Meuwissen, M. P., De Boer, I. J. y Lansink, A. G. O. (2017). Sustainability assessment of agricultural systems: The validity of expert opinion and robustness of a multi-criteria analysis. Agricultural Systems, 157, 118-128. https://doi.org/10.1016/j.agsy.2017.07.013

 

Mesa, P., Ortega, J. M. y Berbel, J. (2008). Análisis multicriterio de preferencias sociales en gestión hídrica bajo la Directiva Marco del Agua. Economía Agraria y Recursos Naturales, 8(2), 105-126. https://doi.org/10.7201/earn.2008.02.06

 

Muhsin, N., Ahamed, T. y Noguchi, R. (2018). GIS-based multi-criteria analysis modelling used to locate suitable sites for industries in suburban areas in Bangladesh to ensure the sustainability of agricultural lands. Asia-Pacific Journal of Regional Science, 2(1), 35-64. https://doi.org/10.1007/s41685-017-0046-0

 

Munda, G. (1995). Multicriteria Evaluation in a Fuzzy Environment: The Naiade Method. En Multicriteria Evaluation in a Fuzzy Environment (pp. 131-148). Springer. https://doi.org/10.1007/978-3-642-49997-5_7.

 

Nijkamp, P., Rietveld, P. y Voogd, H. (2013). Multicriteria evaluation in physical planning. Elsevier.

 

Omarzadeh, D., Pourmoradian, S., Feizizadeh, B., Khallaghi, H., Sharifi, A. y Kamran, K. V. (2022). A GIS-based multiple ecotourism sustainability assessment of West Azerbaijan province, Iran. Journal of Environmental Planning and Management, 65(3), 490-513. https://doi.org/10.1080/09640568.2021.1887827

 

Raihan, A. (2024). A systematic review of Geographic Information Systems (GIS) in agriculture for evidence-based decision making and sustainability. Global Sustainability Research, 3(1), 1-24.

 

Reimov, M., Mamatkulov, Z., Shermanov, U., Oymatov, R., Khamraliev, A. y Abdurashitov, B. (2023). Spatial analysis in decision-making on agriculture activities. E3S Web of Conferences, 386, 01002. https://n9.cl/69rsj

 

Riascos, E. M. (2010). El análisis multicriterio en la gestión de la biodiversidad (tesis de maestría). Universidad Nacional de Colombia, Medellín, Colombia.

 

Saaty, T. L. (1990). How to make a decision: The analytic hierarchy process. European Journal of Operational Research, 48(1), 9-26. https://doi.org/10.1016/0377-2217(90)90057-I

 

Talukder, B., Hipel, K. W. y Vanloon, G. W. (2018). Using multi-criteria decision analysis for assessing sustainability of agricultural systems. Sustainable Development, 26(6), 781-799. https://doi.org/10.1002/sd.1848

 

Veisi, H., Deihimfard, R., Shahmohammadi, A. y Hydarzadeh, Y. (2022). Application of the analytic hierarchy process (AHP) in a multi-criteria selection of agricultural irrigation systems. Agricultural Water Management, 267, 107619.

 


 

1 Magíster en Economía y Desarrollo. Profesor e Investigador en la Universidad de Investigación y Desarrollo - UDI. Barrancabermeja, Colombia. Correo electrónico: ndiaz13@udi.edu.co - ORCID: https://orcid.org/0000-0002-4795-2178 - Google Scholar: https://scholar.google.com/citations?user=RyWW5xcAAAAJ&hl=en.

2 Doctorado en Historia de Iberoamérica. Profesor, Escuela de Economía y Administración en la Universidad Industrial de Santander - UIS. Bucaramanga, Colombia. Correo electrónico: guerrero@uis.edu.co - ORCID: https://orcid.org/0000-0002-0855-3035 - Google Scholar: https://scholar.google.es/citations?user=yCejI58AAAAJ&hl=es&oi=ao.

3 Doctora en Estadística. Profesora titular del Departamento de Ciencias Básicas en la Universidad Autónoma de Bucaramanga - UNAB. Bucaramanga, Colombia. Correo electrónico: efajardo@unab.edu.co - ORCID: https://orcid.org/0000-0002-4635-8003 - Google Scholar: https://scholar.google.es/citations?user=NYm-9GQAAAAJ&hl=es&oi=ao

 


 

Para citar este artículo: Díaz, N., Guerrero, A. A. y Fajardo, E. J. (2023). Un enfoque de SIG-AHP para determinar la sustentabilidad productiva para el Páramo de Santurbán, Colombia. Luna Azul, 57, 122-147. https://doi.org/10.17151/luaz.2023.57.8

 


 

Esta obra está bajo una Licencia de Creative Commons Reconocimiento CC BY

 

 

 

Código QR del artículo