Carlos Guillermo Barreto
Reyes1 Carlos Augusto
Borda Rodríguez2 Ricardo Álvarez León3
Recibido el 25 de septiembre de 2012 y aprobado el 28 de marzo de 2014, actualizado el 10 junio de 2014
Objetivo: Realizar un estudio de las principales variables económicas, biológicas y pesqueras del recurso camarón blanco (Litopenaeus occidentalis) del Pacífico colombiano. Metodología: Se recopilaron 49 años de datos de captura y esfuerzo, complementados con información de tallas y peso que permitieron utilizar modelos de producción excedente y bioeconómicos (modelo Gordon- Schaefer) de esta manera. Resultados: Se determinó que el recurso está siendo sometido a un sobreesfuerzo lo cual ha obligado a la realización de diferentes periodos de veda. Conclusiones: Se pudo determinar que el punto de referencia límite como rendimiento máximo sostenible fue de 808 ton con un esfuerzo correspondiente de 54 motonaves/año y el punto de referencia objetivo como el rendimiento máximo económico de 760 ton con un esfuerzo correspondiente de
41 motonaves/año, los cuales ya han sobrepasado sus niveles registrando capturas anuales que no superan las 200 ton/año.
Dinámica de poblaciones, pesquerías, camarón blanco, Océano Pacífico, Colombia.
ABSTRACT
Objective: To conduct a study of the major economic, biological and fishing variables of the white shrimp (Litopenaeus occidentalis) resource from the Colombian Pacific. Method: 49 years of catch and effort data were compiled, complemented with information on size and weight that allowed to use surplus and bio-economic (Gordon-Schaefer model) production models. Results: It was found that the resource is being subjected to great stress which has forced the realization of different periods of closure. Conclusions: It was possible to determine that the limit point of reference as maximum sustainable yield was 808 tons with a corresponding effort of 54 motorboats/year and the target reference point as the maximum economic yield of 760 tons with a corresponding effort of 41 motorboats/year, which have already exceeded their levels recording annual catches that do not exceed 200 ton/year.
Population dynamics, fisheries, white shrimp, Pacific Ocean, Colombia.
La pesca industrial en Colombia ha tenido sus bases fundamentales en las pesquerías de arrastre y en especial en la captura del camarón de aguas someras, lo cual ha propiciado el soporte principal para la generación de empleo y divisas para el país. No solo la pesca industrial ha tenido impacto en las poblaciones de camarones de aguas someras, sino que la pesca artesanal ha encontrado en este sistema un importante factor de desarrollo social y económico para la costa del Pacífico colombiano (Barreto-Reyes et al., 1994).
La pesca del camarón se inició hace más de 50 años. Hacia 1957 se empezó con dos embarcaciones que realizaban faenas de pesca, las cuales producían 84.950 libras-colas (Mora-Lara, 1988). A partir de ese año el negocio fue prosperando y generó no solo una flota importante, sino que se desarrolló una infraestructura con plantas de proceso que se constituyeron en el principal renglón dentro de la pesca en Colombia (Díaz-Ochoa et al., 1998; Portilla, 1999).
Hasta 1967 las producciones siempre habían estado en aumento, pero por esa época ya estaban alcanzando los niveles de rendimiento máximo sostenible con una flota activa de 55 barcos y una producción de 41749 libras-cola (Mora-Lara, 1988).
Los niveles se sostuvieron por un tiempo en 2 millones de libras-cola, exceptuando los años del fenómeno de “El Niño” que ocasionó el descenso en los rendimientos. A partir de 1985 el sobreesfuerzo de la pesca ejercida (principalmente por la pesca industrial) ocasionó una caída significativa de los rendimientos pesqueros en casi un millón de libras (Mora-Lara, 1988).
El descenso en los rendimientos fue influenciado además por la introducción de un nuevo arte de pesca (red agallera de monofilamento denominada comúnmente “trasmallo electrónico”) hacia principios de los ochenta´s. Este arte de pesca tuvo un profundo impacto en la pesquería de la región, debido a su relativo bajo costo y alto rendimiento en la captura, siendo principalmente utilizado por los pescadores artesanales (Mora-Lara, 1988; Díaz-Ochoa et al., 1998; Portilla, 1999).
Hacia 1993 se registraron niveles de la tasa instantánea de mortalidad (Z) con un valor de 23,43 año-1 por grupos de tallas en longitud total, cifra supremamente elevada para un recurso y que evidenció la alta presión de pesca que se estaba ejerciendo por la flota artesanal (Barreto-Reyes, 1983; Díaz-Ochoa et al., 1998; Portilla, 1999) e industrial (Barreto-Reyes, 1983).
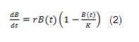
Con esta información se determina el estado del recurso pesquero evaluando sus niveles de aprovechamiento que indica cómo sin la pesquería se está por encima del nivel rendimiento máximo sostenible, y con este diagnóstico podría servir de herramienta básica en la adecuada administración de las pesquerías, especialmente para el establecimiento de cuotas de captura y en el control de esfuerzo que se ejerce sobe el mismo.
El Pacífico colombiano tiene dentro de su Zona Económica Exclusiva (ZEE) un área aproximada de 80.000 km2, la cual está claramente influenciada por la Zona de Convergencia Intertropical (ZCIT); los registros de las temperaturas muestran oscilaciones leves dentro de niveles ligeramente altos; de otra parte, los registros
de humedad obtenidos por las entidades del Estado muestran que estos son altos (3000 a 5000 mm al año). El otro aspecto importante es la temperatura superficial del mar, para la cual se ha encontrado que está cercana a los 25°C; finalmente la salinidad ha sido detectada entre 20 UPS y 33,5 UPS (Cantera- Kintz, 1993).
El Pacífico colombiano limita al Norte con la República de Panamá en donde se registra una de las zonas de surgencia más importantes de la región; hacia el Sur con la República del Ecuador que determina una zona oceanográfica denominada el frente ecuatorial. La línea de costa tiene una extensión de 1392 km, desde Punta Ardita en el límite con Panamá (07°12’N - 77°53’ W), hasta la desembocadura del río Mataje en el límite con el Ecuador (01°20’N - 78°45’W) (Cantera-Kintz, 1993) (Figura 1).

El Pacífico colombiano está enmarcado dentro de dos cordilleras submarinas que se unen a la plataforma de Galápagos, la cual se eleva desde los 3700 hasta 1000 m de profundidad que impiden el intercambio de aguas profundas. Bajo este aspectos geomorfológico se dice que la Costa Pacífica de Colombia (CPC) es una piscina cerrada por fronteras de aguas líquidas (Devis-Morales et al., 2003).
Se ha determinado que las corrientes superficiales que tienen influencia sobre la costa Pacífica son: Corriente Ecuatorial del Norte, Contracorriente Ecuatorial del Norte, Corriente del Golfo de Panamá y la Corriente de Colombia.
Las principales corrientes marinas superficiales que afectan la cuenca del Pacífico colombiano están directamente influenciadas por los vientos y el desplazamiento del cinturón de convergencia intertropical. Se puede decir entonces que las corrientes de Humboldt y de Perú no afectan a la ensenada de Panamá (Cantera-Kintz, 1993).
El comportamiento ambiental de la región se ve afectado por fenómenos naturales como “El Niño” y la “La Niña”, que hacen cambios estructurales en el normal desarrollo del ecosistema. El primero en ser estudiado fue el “El Niño Oscilación del Sur” (ENOS), que es un cambio climático del sistema océano- atmósfera cuya duración puede ser entre 10 a 18 meses; su impacto se registra en muchos lugares de la tierra por lo que su influencia está considerada como de impacto global (Devis-Morales et al., 2003).
Para cuantificar este fenómeno sir Gilbert Walker en 1924 dijo que cuando los sistemas de presiones altas aumentan los sistemas de presiones bajas disminuyen. Para evaluar estos impactos este sistema fue entonces definido como Índice de Oscilación del Sur (IOS). Cuando este índice es positivo se dice que el sistema es estable y cuando el índice es negativo ocasiona disminución en las lluvias monzónicas de verano y de los vientos. Las presiones más altas y positivas provocan sequías en la costa afectando la velocidad de los vientos del Sur y el flujo de aguas hacia el Norte, que caracterizan el fenómeno natural de “La Niña” (Devis-Morales et al., 2003).
En toda la historia de las pesquerías del camarón del Pacífico, las capturas del camarón alcanzaron los registros más bajos ya que no superaron las 600 ton (CCI, 2008).
Bajo estas circunstancias y teniendo como objetivo la
evaluación de la dinámica poblacional, se decidió realizar un análisis sobre
los aspectos económicos, biológicos y pesqueros que mostraran el estado de las
poblaciones de esta importante pesquería y en particular del camarón blanco o
langostino. Con este fin
se recopiló información de captura y esfuerzo de estas pesquerías desde 1957 hasta 2007, así como datos sobre los costos fijos y variables de la pesquería.
Para completar los análisis requeridos por el modelo de Gordon (1954) y Schaefer (1954) y como única variable que no depende de la información sobre la actividad pesquera, se utilizó una tasa de descuento del 10% de acuerdo con lo establecido por el Banco de la República de Colombia como una de las variables que ajustan la modelación bioeconómica (BDR, 2012).
Con la información recopilada se analizaron aspectos básicos como la mortalidad por pesca (F). Básicamente se
utilizó la estimación de mortalidad por pesca
como la acción ejercida por el hombre en la extracción de un recurso
pesquero, bajo la influencia de la capturabilidad de las artes (q) y es
esfuerzo de pesca (f) (Mora-Lara, 1988; Polo-Romero, Barreto-Reyes y Mora-Lara,
1990; Barreto- Reyes et al., 1994; Barreto-Reyes et al., 2001) y está
determinada por:


Donde (r) es la tasa intrínseca de crecimiento poblacional, B (t) la biomasa de la población en el tiempo t y K es la capacidad de carga del ecosistema.
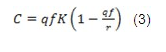
La captura está dada por Seijo et al. (1997):

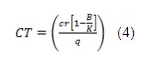
Para determinar los costos totales de la pesquería se utilizó a Seijo et al. (1997):

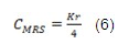
El esfuerzo óptimo en el Rendimiento Máximo Sostenible (RMS) se calculó mediante:

Y la captura en rendimiento máximo sostenible se estimó mediante:

Aspectos económicos. Se puede estructurar el modelo bioeconómico bajo la premisa matemática de Gordon en la cual se determina que los ingresos netos son proporcionales a los ingresos totales (Seijo et al., 1997):

Donde son los ingresos netos, ITS son los ingresos totales sostenibles, CT son los costos totales.
Si se tiene en cuenta que los ITS son el resultado del precio (p) por las capturas
(C) y que
los costos totales con la relación entre el costo (c) por el esfuerzo de pesca (f), la ecuación 7 puede ser
expresada como:

Donde p es el precio del producto (constante), para c se define como costos (constante) por unidad de esfuerzo, se incluyen los costos fijos y variables.
De otra parte, se pueden definir los ingresos netos en función de la tasa de capturas como:

Simplificando y considerado condiciones de equilibrio se deduce que los ingresos totales sostenibles están dados por:

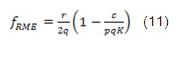
Como una medida de manejo administrativo se introduce el concepto de Rendimiento Máximo Económico (RME) como la máxima diferencia entre los ingresos y los costos totales, y el esfuerzo en el rendimiento máximo económico como:

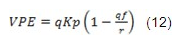
La relación entre la captura total (3) dividida por el esfuerzo de pesca permite establecer el Valor Promedio de Esfuerzo Pesquero (VPE) (Seijo et al., 1997):

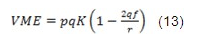
Se define también el Valor Marginal del Esfuerzo (VME) pesquero, como la relación entre los costos totales (4) y un factor multiplicador del esfuerzo pesquero (f):

Finalmente, se definen los costos unitarios como el costo promedio igual al costo marginal:
Los estudios realizados en las pesquerías de camarón vienen mostrando un estado de sobrepesca importante (Mora-Lara, 1988; Polo-Romero et al., 1990; Barreto-Reyes et al., 2001). En el presente estudio se evidencia esta afirmación que muestra cómo una pesquería sin un control estricto puede llegar a niveles críticos. Afortunadamente la capacidad de renovación, las altas tasas de reproducción de la especie y los ciclos de vida cortos permiten que el recurso soporte estos esfuerzos desmedidos de una manera sorprendente.
Con la información recopilada se estimó el coeficiente de capturabilidad q = 0,053, una tasa intrínseca de crecimiento de r = 0,59 y la capacidad de carga del ecosistema K = 5479 ton.
Se pudo determinar el comportamiento de las pesquerías desde el punto de vista dinámico y estático. Los cálculos permitieron estimar un rendimiento máximo sostenible para este recurso de 847 ton con un esfuerzo óptimo de 58 embarcaciones, esto sin contar con el esfuerzo que están ejerciendo los pescadores artesanales con los trasmallos, las redes denominadas “changas”, los chinchorros y las redes de enmalle con ojos de malla no reglamentados.
Como se puede observar las capturas están enmarcadas dentro de la estimación de la captura dinámica (puntos en la Figura 2) que explica mejor el comportamiento de la pesquería que ha permitido que el recurso no se haya dirigido al colapso.

Las pesquerías presentan un fuerte comportamiento en la zona de sobreesfuerzo pesquero (lado derecho de la Figura 2) que ha hecho, durante los años recientes del 2000 en adelante, que las pesquerías hayan dejado de ser rentables per se y se apoyen en la fauna incidental para sostener los costos de inversión.
De otra parte, el esfuerzo pesquero tiene dos formas de evaluarse: uno desde el punto de vista estático y otro desde la perspectiva dinámica. El estático tiene un decaimiento progresivo que muestra una tendencia fija, esto es, si el esfuerzo separa el punto de equilibro de 50 embarcaciones la biomasa alcanza de inmediato las 3000 ton. Mientras que en el esfuerzo dinámico la respuesta no es inmediata, especialmente después de superar las 100 unidades de esfuerzo (barcos), que indica que si el esfuerzo se disminuye la recuperación de la biomasa es mucho más lenta (Figura 3).

De acuerdo con las predicciones del modelo se determina que el esfuerzo en el Rendimiento Máximo Económico (MRE) es 41, el doble del esfuerzo en el equilibrio económico de las pesquerías es decir 82, el cual está referido como al Punto de Referencia Objetivo (PRO) y al Punto de Referencia Crítico (PRC); los cálculos realizados con el modelo arrojaron una estimación de RME igual a 760 ton/año, esta cifra debe tomarse como el ideal de administración de las pesquerías (Figura 4).
Igualmente, existe la alternativa de utilizar un PRL de 808 ton como recomendación de cuotas de pesca que es el nivel del RMS (Figura 4).
El otro aspecto importante es que la flota pesquera debe limitarse entre 41 y 54 embarcaciones que corresponde al RME y RMS respectivamente, esta es una alternativa que no ha sido utilizada en Colombia y que puede ser de aplicación interesante.
El problema radica en la flota artesanal por dos circunstancias básicas: la flota incremental y el control, esto hace que no se puede realizar una adecuada administración de las pesquerías del camarón del Pacífico colombiano.

La finalidad de la utilización del modelo
bioeconómico fue poder realizar predicción sobre lo que puede ocurrir bajos los
supuestos del mismo. De allí que con relación al esfuerzo, se observa que el de
tipo industrial disminuye de forma más rápida en menos de 20 años, mientras que
el esfuerzo artesanal puede sustentarse por períodos de 50 años antes de
declinar (parte a de la Figura 5). De
otra parte, la biomasa decrece en menos de 10 años y prácticamente no se
recupera (parte b de la Figura 5). Las
capturas aumentan rápidamente para las pesquerías industriales pero estas
decrecen a niveles considerables; mientras que la pesca artesanal que no
alcanza niveles superiores sí sobrepasa por más del doble a la pesca industrial
(parte c de la Figura 5). Las
ganancias económicas son igualmente
perjudicadas en el tiempo e igualmente la industrial florece a niveles
superiores, pero igualmente decae rápidamente en 10 años y mantiene un perfil
muy bajo en el resto de la proyección (parte d de la Figura 5).

Si se estabiliza el esfuerzo pesquero a 100 unidades y una flota artesanal máxima de 15 embarcaciones la recuperación sería ostensible y sustentable tal y como se aprecia tanto en el esfuerzo, como en la biomasa, las capturas y los rendimientos económicos perduran por mucho más tiempo y permiten desarrollar una pesquería en condiciones apropiadas.
El modelo bioeconómico, como respuesta a la obtención de la dinámica del recuso que se encuentra bajo aprovechamiento y como predictor de la situación futura del mismo, que es la base fundamental para el establecimiento de las cuotas de pesca, es una primera aproximación real al estado de la población de camarón blanco.
Sin embargo, hay que tener en cuenta que los supuestos que se manejan en el modelo pueden influir en la exactitud del mismo; tales como reclutamiento y coeficiente de capturabilidad constante, equilibrio poblacional, la captura por unidad de esfuerzo que es directamente proporcional a la abundancia del recurso, la capacidad de carga y el ambiente permanecen constantes, el recurso tiene una sola especie lo cual asume que el esfuerzo pesquero es directo para la especie y la tecnología de aprovechamiento es constante.
Dentro del estudio se deben incluir aspectos ambientales como los efectos que repercuten en la salud de la ecología del recurso frente a los eventos “El Niño Oscilación del Sur” y “La Niña”, que influencian e implican diferentes rendimientos máximos sostenibles en años con condiciones neutras (Mendo y Tam, 1993).
Se aprecia que la utilización del criterio dinámico es más aplicable a las condiciones pesqueras de la especie ya que permite estudiar las variaciones del comportamiento de la actividad y no una respuesta meramente lineal (Barreto- Reyes et al., 2009).
El modelo demuestra que las pesquerías industriales con más altos costos de inversión que la pesca artesanal, alcanzan niveles mucho más altos, pero los mismos se ven igualmente reducidos de una manera más drástica, lo que puede estar generando dos circunstancias: los armadores pesqueros deben ser más prudentes en cuanto al uso de sus recursos, y este tipo de pesquería limita el ingreso de nuevos usuarios; de otra parte, los pescadores artesanales pueden arriesgar mucho más sus inversiones y la entrada de nuevas unidades de pesca es más amplia.
·
Barreto-Reyes, C.G. (1983). Análisis
de pseudocohortes para el camarón blanco (Penaeus
occidentalis Street) utilizando el modelo de Jones. Boletín Científico INPA, 1,
89-98.
·
Barreto-Reyes, C.G., Valderrama-Barco,
M.B. y Ramírez-Aristizábal, A. (1994). Estados de explotación, rendimiento
sostenible, reclutamiento a la pesquería y lineamientos de ordenación de la
pesca de camarón de aguas
someras Penaeus occidentalis, Xiphopenaeus riveti y Trachypenaeus byrdi en el
Pacífico colombiano. Boletín Científico INPA, 2,
96-109.
· Barreto-Reyes,
C.G., Polo-Romero, G.A., Mancilla-Páramo, B., Pineda, M. y Cuello, F. (2001).
Colombia: Análisis biológico pesquero y económico de la fauna acompañante en la
pesquería de arrastre industrial colombiana; contribución biológica y económica
para la investigación y el desarrollo en recursos pesqueros colombianos y
estimación del impacto de la fauna incidental en la pesca de arrastre del
camarón. En: Fishery Technology Service & Fisheries and Aquaculture
Department (eds.). FAO - Tropical Shrimp Fisheries
and their Impact on Living Resources. Shrimp fisheries in Asia: Bangladesh, Indonesia and the Philippines; in the Near East: Bahrain and Iran; in Africa: Cameroon,
Nigeria and the United Republic of Tanzania; in Latin America: Colombia, Costa
Rica, Cuba, Trinidad and Tobago, and Venezuela. FAO
Fisheries Circular No. 974 FIIT/C974. Roma (Italy). 378p. Recuperado de http://www.fao.org/docrep/007/y2859e/y2859e09.htm
· Barreto-Reyes,
C.G., Borda-Rodríguez, C.A., Otto-Rehder, J.C., Sánchez, C.L., Sanabria-Ochoa,
A.I., Puentes-Granada, W. y Muñoz, S. (2009). Propuesta de cuotas globales
de pesca y otras medidas
de manejo para el
aprovechamiento de recursos pesqueros colombianos, vigencia 2010. Doc. Presentado al Comité Ejecutivo para
la Pesca (CEP). Bogotá D.C. 113p. Recuperado de http://www.minagricultura.gov.co/archivos/Doc_final_cuotas_2010_se
p14_2009.pdf
· BDR.
(2012). Boletín de indicadores
económicos. Bogotá D.C., Colombia: Banco de la República.
·
Cantera-Kintz, J.R. (1993).
Oceanografía. En: Leyva, P. (ed.). Colombia: Pacífico, Tomo
I (pp. 1-23). Fondo para la Protección del Medio Ambiente FEN-Colombia. Santa
Fe de Bogotá D.C., Colombia. 396p.
·
CCI. (2008). Informe final de 2007. Corporación
Colombia Internacional. Bogotá D.C., Colombia.
·
Devis-Morales, A., García-Hansen, I.,
Málikov, I. y Villegas-Bolaños, N.L. (2003). Compilación
Oceanográfica de la Cuenca Pacífica Colombiana. Centro
Control Contaminación del Pacífico Colombiano. Ed. DIMAR. Serie Publicaciones
Especiales, 1. San Andrés de Tumaco (Nar.). Colombia. 124p.
·
Díaz-Ochoa, J., Velasco, C. y Ramírez,
A. (1998). Monitoreo de la pesquería del
camarón de aguas someras del Pacífico colombiano en 1997.
INPA. Buenaventura (Valle). Inf. Técnico. 32p.
·
Gordon, H.S. (1954). The economics of
a common properly resource: the fishery. J. Polit. Ecom., 62, 124-142.
·
INVEMAR. (2008). Informe del estado de los ambientes y recursos marinos y costeros en Colombia año 2007.
Instituto de Investigaciones Marinas y Costeras “José Benito Vives D’Andreis”.
Santa Marta (Mag.), Colombia.
·
Mendo, J. y Tam, J. (1993). Multiple
environmental states affecting penaeid
shrimp production in Peru. NAGA, The ICLARM Quarterly,
44-46.
·
McAllister, M., Pikitch, A. y Hilborn,
P. (1994). A Bayesian approach to stock assessment and harvest decisions using
the sampling / importance resembling algorithm. Can.
J. Aquat. Sci., 51, 2673-2687.
·
Mora-Lara, C.O. (1988). Análisis de la
pesca de langostino, Penaeus (Litopenaeus) occidentalis,
Street, efectuada por la flota camaronera de Buenaventura y el trasmallo
“electrónico”. Trianea, 1, 193-207.
· Portilla, E. (1999). Captura por unidad de esfuerzo, tallas promedios y madurez del camarón blanco (Pennaeus occidentalis) y tití (Xiphopennaeus riveti) en la Ensenada de Tumaco en la post-veda de febrero de 1999. Centro de Control de Contaminación del Pacífico CCCP. Tumaco (Nariño), Colombia. INPA. Tumaco (Nariño). Inf. Técnico.
· Polo-Romero,
G., Barreto-Reyes, C.G. y Mora-Lara, C.O. (1990). Ensayo
bioeconómico para la evaluación del camarón blanco y la flota pesquera
industrial en la costa del Pacífico colombiano. Proy.
INPA-COLCIENCIAS. Bogotá D.E. Inf. Técnico.
· Seijo,
J.C., Defeo, O. y Salas, S. (1997). Bioeconomía pesquera: teoría,
modelación y manejo. FAO Doc. Téc. Pesca, 368. 176p.
·
Schaefer, M.B. (1954).Some aspects of
the dynamic of populations important of the management of commercial marine
fisheries. Bull. Inter- Amer. Trop.Tunna Comm., 1, 27-56.
1. Consultor en Pesquerías y Estadísticas Pesqueras, Bogotá D.C. Colombia, cbarretoreyes@gmail.com
2. AUNAP, Bogotá
D.C. Colombia, carlosborda.rodriguez@gmail.com
3. Fundación Verdes Horizontes, Manizales (Caldas) Colombia,
Para citar este artículo: Barreto-Reyes, C.G., Borda-Rodríguez, C.A., Álvarez- León, R. (2014). ANÁLISIS BIOECONÓMICO DE LAS PESQUERÍAS DE CAMARÓN BLANCO DEL PACÍFICO COLOMBIANO. Revista Luna Azul, 39,
153-164. Recuperado de
http://lunazul.ucaldas.edu.co/index.php?option=content&task=view&id=953