Incidencia del lixiviado del Parque Tecnológico Ambiental Antanas en la
toxicidad del río Bermúdez, departamento de Nariño-Colombia
Diego Fernando
Guaitarilla Moncayo1![]()
Recibido: 06/08/2025 Aceptado: 03/11/2025 Actualizado: 06/04/2026
DOI: 10.17151/luaz.2025.62.6
Resumen
Introducción: El vertimiento de lixiviados tratados provenientes del Parque Tecnológico Ambiental Antanas (PTAA) hacia el río Bermúdez representa una fuente potencial de contaminación que puede alterar la calidad del agua y afectar los ecosistemas acuáticos del departamento de Nariño. Objetivo: Evaluar la incidencia de los lixiviados tratados del PTAA en la toxicidad y calidad del agua del río Bermúdez, determinando su efecto sobre organismos bioindicadores y parámetros fisicoquímicos. Materiales y métodos: Se recolectaron muestras en dos puntos del río (150 m aguas arriba y 100 m aguas abajo del vertimiento) durante la temporada lluviosa, analizando parámetros fisicoquímicos, el índice de calidad del agua (ICA) y bioensayos de toxicidad con Allium cepa L. y Daphnia magna. Se aplicaron pruebas de normalidad y homocedasticidad, así como un modelo de regresión para calcular la concentración inhibidora media (IC50) y las unidades de toxicidad (UTC). Resultados: Se observó un incremento del pH (5.87 %), color aparente (23.35 %), alcalinidad total (44.38 %) y DBO₅ (47.21 %) aguas abajo, junto con un aumento del cromo (17.86 %). La IC50 disminuyó de 50.9 (moderadamente tóxica) a 38.89 (tóxica), corroborado con D. magna. El ICA pasó de 285.35 a 305.09, clasificando el agua como “muy mala” e “inapropiada para actividades humanas”. Conclusión: Los lixiviados tratados del PTAA incrementan la toxicidad y deterioran la calidad del agua del río Bermúdez, evidenciando un impacto ambiental significativo que requiere medidas urgentes de control y monitoreo.
Palabras clave: Allium cepa L., bioindicadores, contaminación hídrica, metales pesados, ecotoxicología, calidad del agua
Impact of
Leachate from the Antanas Environmental Technology Park on the Toxicity of the
Bermúdez River, Nariño Department, Colombia
Abstract
Introduction: The discharge of treated leachate
from the Antanas Environmental Technology Park (PTAA) into the Bermúdez River
represents a potential source of pollution that may alter water quality and
affect aquatic ecosystems in the department of Nariño. Objective: To evaluate
the impact of treated leachate from the PTAA on the toxicity and water quality
of the Bermúdez River, determining its effect on bioindicator organisms and
physicochemical parameters. Materials and methods: Samples were collected at
two points along the river (150 m upstream and 100 m downstream of the
discharge) during the rainy season, analyzing physicochemical parameters, the
water quality index (WQI), and toxicity bioassays using Allium cepa L. and
Daphnia magna. Tests for normality and homoscedasticity were applied, as well
as a regression model to calculate the median inhibitory concentration (IC50)
and toxicity units (TU). Results: An increase in pH (5.87%), apparent color
(23.35%), total alkalinity (44.38%), and BOD₅ (47.21%) was observed downstream,
along with an increase in chromium (17.86%). The IC50 decreased from 50.9
(moderately toxic) to 38.89 (toxic), as confirmed by D. magna. The ICA rose
from 285.35 to 305.09, classifying the water as “very poor” and “unsuitable for
human activities.” Conclusion: Treated leachates from the PTAA increase
toxicity and degrade the water quality of the Bermúdez River, demonstrating a
significant environmental impact that requires urgent control and monitoring
measures.
Keywords: Allium cepa L., bioindicators, water pollution, heavy metals, ecotoxicology, water quality.
Introducción
La conservación del agua dulce es fundamental para la vida y el equilibrio de los ecosistemas acuáticos, ya que de ella dependen numerosos procesos ecológicos y la provisión de servicios ambientales (Arias et al., 2021; León, 2023). Sin embargo, diversas actividades humanas han deteriorado su calidad, incrementando la toxicidad tanto en cuerpos de agua superficiales como subterráneos. En este contexto, los estudios toxicológicos resultan esenciales para identificar los efectos adversos de distintos contaminantes sobre los organismos vivos (Martín, 2021).
Hernández Vargas et al. (2020) señalan que la calidad del agua en las áreas de captación de los ríos es adecuada para varios usos; así mismo, afirman que aguas abajo, su deterioro es inevitable, debido a la contaminación causada por aguas residuales domésticas e industriales vertidas. Mientras que, Hilario y Mamani (2021) señalan que algunos procesos industriales han tenido un impacto negativo en el ambiente debido a la inadecuada disposición de sus residuos, el drenaje de aguas ácidas y desmontes.
En relación con lo anterior, los lixiviados de rellenos sanitarios representan una fuente significativa de contaminación. Cabe resaltar que su tratamiento mediante procesos físicos, químicos o microbiológicos pueden reducir en gran medida su impacto, este solo logra mitigar parcialmente el riesgo ambiental. Autores como Hernández (2020) y Ale et al. (2024) coinciden en que, a pesar de la eficiencia de los tratamientos, los lixiviados conservan su potencial contaminante sobre el suelo, los cuerpos de agua, afectando a las comunidades cercanas.
En un contexto local, el Parque Tecnológico Ambiental Antanas (PTAA), ubicado a 3 km de la capital nariñense, gestiona y dispone los residuos sólidos de 44 municipios de Nariño, Cauca y Putumayo. El relleno tiene un área total de 100 ha, dentro de las cuales se prevé la disposición final de los residuos en tres vasos: el Vaso I, ya clausurado con 5 ha, operó de marzo de 2001 a junio de 2009, almacenando 670 mil toneladas, el Vaso II está actualmente en funcionamiento y se espera que continúe recibiendo residuos hasta el 2027, con una superficie de 7 ha y el Vaso III, con 8 ha, está proyectado para operar hasta aproximadamente el 2041 (Alcaldía de Pasto, 2019).
El tratamiento de lixiviados actualmente recibe el líquido proveniente de los Vasos I y II, con caudales y concentraciones variables debido a las precipitaciones en la zona de disposición final de residuos (López y Sánchez, 2015). Ya tratado, el lixiviado se conduce mediante una serie de cámaras y tuberías hacia la fuente receptora, que para el caso es el río Bermúdez, ubicado a 8,5 kilómetros del PTAA (EMAS Pasto, 2022).
La descarga de lixiviados en cuerpos de agua superficiales altera significativamente su composición natural debido a su alta carga de materia orgánica, metales pesados, microplásticos y otros compuestos persistentes, incluso posterior a ser tratados (Abdel-Shafy et al., 2024; Costa et al., 2019; Hernández, 2020). Dicha contaminación representa un riesgo para la salud humana, causando afecciones neurológicas y gastrointestinales en comunidades que captan el agua contaminada para uso doméstico o actividades agrícolas y pecuarias (Gunarathne et al., 2024). Esta realidad motivó a esta investigación, al existir un vacío de información sobre la alteración que puede ocasionar el vertimiento de lixiviados tratados provenientes del PTAA, sobre el río Bermúdez, especialmente en la toxicidad con el aporte de contaminantes y en la calidad del agua para consumo humano.
Es por lo anteriormente mencionado que la presente investigación tuvo como objetivo analizar la incidencia de los lixiviados tratados del PTAA, en la toxicidad de la Microcuenca Río Bermúdez, en el departamento de Nariño, para lo cual, se identificó la toxicidad aguas arriba y aguas abajo al punto de vertimiento, a continuación, se determinó la relación entre los parámetros fisicoquímicos con respecto a la toxicidad, y se estableció la influencia del vertimiento sobre el río Bermúdez. Por último, se analizó las implicaciones del incremento de estos contaminantes sobre la salud, con el respaldo de la “Guía para la calidad del agua de consumo humano” (Organización Mundial de la Salud [OMS], 2018), orientada a la protección de la salud pública asociada al consumo de agua.
Materiales y métodos
Zona de estudio y muestreo
El estudio se desarrolló en el Parque Tecnológico Ambiental Antanas (PTAA), ubicado en el departamento de Nariño, Colombia, a 3 kilómetros al suroeste de la ciudad de San Juan de Pasto. El punto de descarga de los lixiviados tratados se localiza en la vereda Los Robles, corregimiento de Casabuy, municipio de Chachagüí, a una altitud promedio entre 2.400 y 2.500 m s. n. m., en una zona de relieve ondulado y clima húmedo típico de los Andes nariñenses. Las coordenadas geográficas de los sitios de muestreo fueron 1°20′17″ N, 77°17′01″ O, para el punto aguas arriba y 1°13′01″ N, 77°16′27″ O, para el punto aguas abajo, referenciadas al sistema geodésico WGS 84. Este sector forma parte de la subcuenca del río Bermúdez, afluente del río Pasto, el cual desempeña un papel esencial en la dinámica hídrica y ambiental del área de estudio (Figura 1).
Figura 1. Mapa de ubicación geográfica de los puntos de muestreo
Fuente: elaboración propia.
La recolección de muestras en la subcuenca del río Bermúdez se fundamentó en la necesidad de obtener resultados representativos y comparables bajo condiciones climáticas variables propias de la región andina, caracterizada por precipitaciones constantes a lo largo del año. Estas condiciones, aunque pueden modificar temporalmente el caudal y la concentración de contaminantes, no comprometen la calidad de los resultados, ya que el diseño de muestreo consideró la estabilidad hidrológica y la homogeneidad espacial del cuerpo de agua durante los periodos de lluvia y poslluvia. De acuerdo con las directrices del IDEAM (2021) y la Guía Técnica Colombiana GTC 100 (ICONTEC, 2018), los puntos de muestreo se seleccionaron estratégicamente a 150 metros aguas arriba y 100 metros aguas abajo del punto de descarga, garantizando que las muestras representaran las condiciones previas y posteriores al vertimiento, sin interferencias de otras fuentes antrópicas.
El muestreo se ejecutó siguiendo el principio de reproducibilidad temporal, con toma de muestras puntuales en momentos donde el caudal se mantuvo dentro de su rango normal, evitando eventos extremos de precipitación que pudieran inducir dilución o arrastre de sedimentos. Estudios recientes, como los de Mora et al. (2022) y Sarmiento et al. (2020), han demostrado que, en ecosistemas andinos sometidos a lluvias constantes, la representatividad de los parámetros fisicoquímicos puede mantenerse si se controlan las variables de caudal, temperatura y turbidez durante la toma de muestra. Por lo tanto, el presente diseño metodológico permite asegurar la confiabilidad de los datos, al tiempo que refleja las condiciones reales de exposición del ecosistema acuático ante el vertimiento de lixiviados tratados provenientes del PTAA.
Para garantizar la validez de los resultados obtenidos, se amplió la descripción del análisis estadístico incluyendo la verificación de los supuestos de normalidad y homocedasticidad de los datos. La normalidad se evaluó mediante las pruebas de Shapiro-Wilk y Kolmogorov-Smirnov, según el tamaño de muestra, mientras que la homogeneidad de varianzas se comprobó con la prueba de Levene, conforme a las recomendaciones de Zar (2010) y Montgomery (2017).
Identificación de la toxicidad
Las muestras de ambos puntos fueron recolectadas siguiendo los lineamientos del IDEAM (2021). Se extrajeron cuatro litros por punto en frascos ámbar etiquetados y conservados a 4 °C hasta su traslado al Laboratorio de Aguas de la Universidad de Nariño. Allí se realizaron ensayos de toxicidad aguda con Allium cepa L. mediante el método de inhibición del crecimiento radicular promedio, conforme al protocolo de Fiskesjö, (1993) y modificada por Sánchez-Bain et al. (2004). Para estos ensayos, se eligieron bulbos frescos y orgánicos de aproximadamente 3 meses de siembra, de la semilla comercial Hybrid Onion F1.
Así, se llevó a cabo una serie de cinco concentraciones para cada punto muestreado, con un factor de disolución de 0,25, lo que corresponde a 100, 75, 50, 25 y 5 % (v/v), del mismo modo, se incluyó un control negativo y uno positivo, cada uno con doce réplicas, al igual que las cinco series mencionadas (Sánchez-Bain et al., 2004).
Para el control positivo, se utilizó el dicromato de potasio (K2Cr2O7) en concentraciones de 70 %, 50 %, 35 %, 14 % y 5 %, dichas concentraciones se realizaron teniendo en cuenta que una solución saturada de K2Cr2O7 se da con 120 g/L de agua a 20 °C (CSTS, 2021). Así también, para el control negativo se empleó agua con macronutrientes teniendo en cuenta la Tabla 1, que sirvió como punto de referencia para la adición de compuestos en la preparación del blanco o testigo por cada litro compuesto.
Tabla 1. Medio de crecimiento del control negativo
Nota. * Los componentes correspondientes a elementos traza fueron adicionados a partir de una solución stock. Fuente: Tomado de Sánchez-Bain et al. (2004).
Debido a que los elementos traza, presentaron una cantidad muy difícil de cuantificar, se adicionaron por medio de una solución stock, es decir, se preparó una solución concentrada y luego se diluyeron adicionando solvente, que en este caso obedecía al agua destilada.
Pasadas 72 horas se determinaron las longitudes de las raíces en todos los medios de crecimiento y para obtener el porcentaje de efecto de inhibición se desarrolló la siguiente ecuación:

Donde:
-% Inhibición: Porcentaje de efecto de inhibición.
-Lm: longitud promedio de las raíces en la muestra expuesta (cm o mm)
-Lc: longitud promedio de las raíces en el control (cm o mm)
Cálculo de las unidades de
toxicidad
Se empleó el paquete estadístico “drc” (Dose-Response Curves) en RStudio, que permite ajustar modelos de respuesta a dosis y calcular la Concentración Inhibidora Media (IC50) (Alfaro y Baizán, 2021). Además, se determinó el coeficiente de correlación lineal (R²) para evaluar la fuerza de asociación entre las concentraciones probadas y el porcentaje de inhibición. A partir de los valores de IC50 obtenidos, se calcularon las unidades de toxicidad (UTC) según la clasificación propuesta por Zagatto et al. (1988a), citado por Angulo (2015).

Donde:
UTC: Unidades de toxicidad
IC50: Concentración Inhibitoria 50
Las UTC posibilitan la clasificación de la toxicidad en distintos niveles, esta categorización se encuentra detallada en la Tabla 2.
Tabla 2. Clasificación de la toxicidad
Fuente: Tomado de Zagatto et al. (1988b), (citado por Angulo, 2015).
A fin de confirmar la adaptación del protocolo, se enviaron seis muestras de agua cruda al Laboratorio de Catálisis de la Universidad de Nariño, sometiéndose a un análisis comparativo utilizando el método de ensayo de inmovilidad aguda con Daphnia magna, de acuerdo a la Norma española emitida por la Asociación Española de Normación y Certificación, (2013).
Al mismo tiempo, se llevó a cabo la medición de los siguientes parámetros de calidad del agua: pH, color aparente (CA), sólidos disueltos totales (SDT), sólidos suspendidos totales (SST), acidez, alcalinidad total (ALT), dureza cálcica (DC), aluminio (Al), zinc (Zn), plomo (Pb), cromo (Cr), cobre (Cu), cadmio (Cd), oxígeno disuelto (OD), demanda biológica de oxígeno (DBO5), demanda química de oxígeno (DQO) y grasas y aceites (GyA), que según Costa et al. (2019b) son indicadores que permiten la caracterización del lixiviado y fueron analizados por el Laboratorio de Análisis Químico y de Aguas de la Universidad de Nariño.
Relación entre los indicadores de
toxicidad
Para determinar la relación entre los parámetros fisicoquímicos y la toxicidad del vertimiento de lixiviados, se aplicó un análisis comparativo de los valores y porcentajes de concentración entre los puntos de muestreo aguas arriba y aguas abajo. Esta metodología ha sido empleada en varias investigaciones (Ford y Ginley, 2024; Herrera-Muñoz et al., 2024; Muschket et al., 2024; Yang et al., 2025; Zhou et al., 2024), resultando eficaz y adecuada cuando se dispone de un número limitado de muestras. Además, se consideraron los efectos tóxicos reportados en la literatura para cada compuesto analizado. La ecuación que se aplicó es la siguiente.

Donde,
% C: porcentaje de cambio del parámetro
Cab: concentración aguas abajo del parámetro
Car: concentración aguas arriba del parámetro
Influencia de los lixiviados
sobre la toxicidad del río Bermúdez
Para establecer la incidencia del lixiviado sobre la toxicidad del río Bermúdez, se calculó el índice de calidad del agua (ICA), el cual ha sido empleado en diferentes investigaciones (Fu et al., 2025; Han et al., 2025; Hossain et al., 2025; Marselina et al., 2025; Qin et al., 2025) y se considera como un criterio para la clasificación de las aguas superficiales. La metodología consiste en sintetizar varios parámetros analizados en un solo valor que representa la calidad del agua, generalmente destinada para actividades humanas (Lee et al., 2023; Nong et al., 2025).
Para el cálculo del ICA se utilizó el método propuesto por la Fundación Nacional de Saneamiento (Brown et al., 1970), aún vigente y ampliamente aplicado a nivel internacional. Se asignaron ponderaciones a 14 de los 17 parámetros fisicoquímicos evaluados, con base en su impacto sobre la salud humana, aspectos económicos y características organolépticas. La clasificación se realizó siguiendo los valores guía de la OMS (2018) y del IDEAM (2007), calificando cada parámetro en una escala de 1 a 5, donde 1 representa baja incidencia y 5 alta incidencia sobre la calidad del agua. Los parámetros incluidos fueron Pb, Cr, Cd, Cu, Zn, Al, DBO5, pH, CA, OD, SST, SDT, ALT y DC.
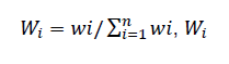
El cálculo del ICA se determinó mediante la siguiente fórmula:

Donde:

Cabe resaltar, qué según la metodología, el ICA se puede dividir en cinco categorías. Si el ICA < 50, la calidad del agua es excelente; cuando 50 ≤ ICA < 100, la calidad del agua es buena; cuando 100 ≤ ICA < 200, la calidad del agua es mala; si 200 ≤ ICA < 300, la calidad del agua es muy mala y si el ICA ≥ 300, el agua es inapropiada para actividades humanas.
Resultados y discusión
Identificación de la toxicidad
Pasadas las 72 horas de exposición, el control negativo con agua destilada y macronutrientes presentó una longitud radicular promedio de 15,27 mm, utilizada como referencia para comparar los resultados del control positivo y de los ensayos de toxicidad en los dos puntos de muestreo. La Tabla 3 muestra la IC50 como indicador de toxicidad para los puntos ubicados 150 metros aguas arriba y 100 metros aguas abajo del vertimiento de lixiviados tratados.
Del mismo modo, se logró determinar con un coeficiente de determinación (R2) de 0,92 y 0,95 para los valores antes mencionados, demostrando que el modelo de regresión ajustado con respecto a la respuesta individual resulta siendo estadísticamente significativo, este hallazgo es respaldado por Goss-Sampson y Meneses (2019), quien indica que un R2 de este valor está asociado con una relación sólida entre la variable dependiente e independiente.
Tabla 3. Toxicidad aguas arriba y aguas abajo del vertimiento
Fuente: elaboración propia.
Según los resultados, el punto de muestreo aguas arriba presentó una IC50 de 50,9, clasificada como “moderadamente tóxica”; este valor concuerda con lo reportado por CORPONARIÑO (2011), que señala la presencia de descargas puntuales y difusas previas al vertimiento de lixiviados, asociadas a actividades como granjas avícolas, cultivos de fique, lavado de café, sistemas de pozos sépticos rudimentarios y el uso de agroquímicos en cultivos de café cercanos al cauce del río en la vereda La Pradera.
Ahora bien, la muestra tomada aguas abajo registró una IC50 de 38,89, clasificada como "Tóxica", lo que evidencia un aumento en la concentración de sustancias nocivas tras la descarga de lixiviados tratados. Esta variación, observada a lo largo de 100 metros desde el punto de vertimiento, sugiere un impacto significativo sobre los organismos acuáticos, atribuido principalmente a los efluentes del PTAA, en concordancia con lo señalado por CORPONARIÑO (2011), respecto a la influencia de dichos vertimientos en la calidad del agua del río Bermúdez.
En este contexto, los resultados de toxicidad obtenidos mediante el bioensayo de inmovilidad aguda con Daphnia magna, realizados por el Laboratorio de Catálisis de la Universidad de Nariño, mostraron valores de IC50 de 52.5 y 47.5 para aguas arriba y aguas abajo, respectivamente, corroborando los niveles de toxicidad “moderadamente tóxico” y “tóxico”. Estos resultados coinciden con los hallazgos de esta investigación y evidencian que Allium cepa L. presenta mayor sensibilidad al contaminante, tal como lo señala Espinoza (2020), quien destaca su alta respuesta ante alteraciones fisicoquímicas en aguas naturales.
En un estudio realizado en la cuenca del Lago de Tota (Boyacá, Colombia), se emplearon bioensayos de toxicidad aguda con Daphnia magna para evaluar el impacto de las actividades agrícolas intensivas, particularmente los monocultivos de cebolla y el uso de gallinaza, sobre los cuerpos de agua. Los resultados evidenciaron la presencia de plaguicidas organoclorados como aldrín, dieldrín y DDT, indicando una alta presión contaminante difusa asociada a las prácticas agrícolas locales (García et al., 2019). Este hallazgo coincide con lo observado en el presente estudio, donde el punto aguas abajo mostró un valor de IC50 de 38,89, clasificado como tóxico, sugiriendo la influencia combinada de contaminantes agrícolas y efluentes de lixiviados. Así, la aplicación de D. magna como organismo bioindicador se consolida como una herramienta eficaz para detectar variaciones en la calidad del agua ante presiones antrópicas, tal como se ha demostrado en ecosistemas altoandinos con características similares.
De igual manera, una investigación desarrollada en el departamento del Cesar evaluó la genotoxicidad del agua fluvial mediante el bioensayo con Allium cepa, encontrando concentraciones significativas de metales pesados como mercurio y arsénico, junto con alteraciones citológicas como reducción del índice mitótico y formación de micronúcleos (Castro et al., 2023). Estos resultados confirman la alta sensibilidad de A. cepa frente a contaminantes fisicoquímicos, en concordancia con lo señalado por Espinoza (2020), quien destaca su potencial como biomonitor de ambientes acuáticos contaminados. En este sentido, los valores de IC50 registrados en esta investigación corroboran que las aguas abajo del vertimiento presentan un deterioro en su calidad, evidenciando un impacto tóxico significativo sobre los organismos expuestos.
Relación entre los indicadores de
toxicidad
Relación entre parámetros físicos y químicos con respecto a la
toxicidad
Los resultados de las muestras tomadas aguas arriba y aguas abajo al punto de descarga de los lixiviados del PTAA, y analizadas en el Laboratorio de Análisis Químico y Aguas de la Universidad de Nariño, dio como resultado los valores que se presentan en la Tabla 4.
Tabla 4. Resultado de
muestras de laboratorio
Fuente: elaboración propia.
Los parámetros seleccionados para el análisis del agua del río Bermúdez se definieron en función de los aportes característicos del lixiviado a los cuerpos receptores. Se incluyeron compuestos orgánicos como carbohidratos, proteínas y lípidos, representados de forma general mediante los análisis de DBO5, DQO y GyA, así como compuestos inorgánicos y metales pesados (Al, Zn, Pb, Cr, Cu y Cd) según Sossou et al. (2024). Adicionalmente, se evaluaron parámetros como CA, acidez, ALT, DC, OD, SST y SDT, con el fin de determinar su contribución al vertimiento y su relación con la toxicidad observada.
En cuanto al pH, el lixiviado del Vaso II del PTAA, clasificado como joven (Miao et al., 2019), presenta un pH bajo y alta biodegradabilidad debido a la presencia de materia orgánica hidrofílica de bajo peso molecular (Teng et al., 2021). En contraste, el lixiviado del Vaso I, clausurado en 2009, es considerado viejo (Miao et al., 2019), con un pH más elevado y menor biodegradabilidad por su contenido de compuestos orgánicos refractarios (Ibrahim y Yaser, 2019). La descarga combinada de ambos generó un aumento del pH en el río Bermúdez de 7,21 a 7,66 (5,87 %), asociado a una menor solubilidad de metales pesados (Teng et al., 2021).
Respecto al parámetro de CA, se registró un incremento de 7,8 UPC (Unidades Platino-Cobalto) luego del vertimiento de los lixiviados, pasando de 25,6 UPC a 33.4 UPC, lo que representa un aumento del 23,35 %. Esta variación se atribuye a la presencia de sólidos disueltos provenientes de la descomposición de la materia orgánica en los residuos sólidos (Sperling y Sánchez, 2019). Visualmente, el lixiviado presenta una coloración negra, la cual altera el aspecto del agua del río Bermúdez, afectando tanto su calidad estética como su equilibrio ecológico. La disminución en la penetración de la luz solar, particularmente en zonas de bajo flujo, limita la fotosíntesis y entorpece el desarrollo de la vida acuática (Ibrahim y Yaser, 2019).
En relación con la acidez, se observó un incremento de 7,96 mg/L CaCO₃, pasando de 6,36 mg/L CaCO₃ aguas arriba a 14,32 mg/L CaCO₃ aguas abajo, lo que equivale a un aumento del 55,59 %. Este parámetro indica la capacidad del agua para neutralizar una base fuerte a un pH de 8,2 (Sperling y Sánchez, 2019). El aumento de la acidez está asociado principalmente a la oxidación biológica de la materia orgánica y a la descarga de lixiviados tratados sobre el río Bermúdez. Esta condición puede intensificar el carácter corrosivo del agua, además de alterar el equilibrio de las comunidades biológicas, afectando negativamente a la flora y fauna acuáticas (Romero Rojas, 2021).
Para la ALT, se evidenció un incremento de 23,62 mg/L CaCO₃, al pasar de 29.6 mg/L CaCO₃ aguas arriba a 53,22 mg/L CaCO₃ aguas abajo, lo que representa un aumento del 44,38 %. Este parámetro está asociado a la presencia de hidróxidos, carbonatos y bicarbonatos de elementos y compuestos como como el Ca, Mg, Na, K y el NH4+, los cuales son aportados por la descarga del lixiviado tratado. Según Romero (2021), este aumento implica una alteración en la biodegradabilidad de la materia orgánica, ya que la alcalinidad actúa como un sistema tampón que limita los cambios bruscos de pH. En este sentido, la relación entre pH y biodegradabilidad de la materia orgánica tiende a ser inversamente proporcional.
El siguiente parámetro medido corresponde a la DC, en donde aguas arriba al punto de vertimiento tiene una concentración de 20,55 mg/L CaCO3 y aguas abajo de 21,3 mg/L CaCO3, representando un incremento de 0,75 mg/L CaCO3 correspondiente a 3,52 %, este comportamiento se debe al incremento de la concentración de cationes multimetálicos en solución de Ca2+ y Mg2+ asociados a sólidos disueltos (Sperling y Sánchez, 2019).
En cuanto a los SDT, estos aumentaron de 108 mg/L a 127,8 mg/L, lo que representa un incremento de 19,8 mg/L, equivalente al 15,49 %. Por su parte, los SST pasaron de 9,9 mg/L a 10,2 mg/L, con un aumento de 0,3 mg/L, correspondiente al 2,94 %. Los SDT son responsables, en gran medida, de la coloración del agua, mientras que los SST representan la fracción particulada que tiende a sedimentarse por efecto de la gravedad. Estos sedimentos pueden actuar como reservorios contaminantes, albergando materia orgánica y metales pesados, los cuales permanecen por periodos prolongados en el lecho del río, a diferencia de las partículas coloidales que continúan desplazándose con el flujo hídrico (Romero, 2021).
Para la caracterización de la materia orgánica, se evaluaron los parámetros DBO₅ y DQO. La DBO₅ presentó un incremento de 1,78 mg/L, al pasar de 1,99 mg/L aguas arriba a 3,77 mg/L aguas abajo, lo que representa un aumento del 47,21 %. Además, la concentración de la DQO se mantuvo constante en 19,99 mg/L. Estos resultados indican que el aporte de materia orgánica proveniente del lixiviado tratado corresponde mayormente a compuestos biodegradables, en razón del incremento observado en la DBO₅ (Wijekoon et al., 2022). Estos resultados respaldan lo señalado por Bhatt et al. (2016), quienes establecen que una relación DBO₅:DQO elevada sugiere la presencia de una fracción significativa de materia orgánica fácilmente biodegradable. En este caso, dicha relación aumentó de 0,099 antes del vertimiento a 0,188 después del mismo.
A pesar del incremento para la DBO5, el OD se presenta casi invariable, con una concentración de 6,51 mg/L de O2 aguas arriba y 6,52 mg/L O2 aguas abajo. Según Sperling y Sánchez (2019), esto indica que, aunque el aporte de materia orgánica a un cuerpo de agua, consume el oxígeno disuelto, existen mecanismos naturales que restablecen el equilibrio acuático tras las alteraciones por los vertimientos afluentes, en particular, los 100 m desde el punto de descarga hasta el punto de muestreo, corresponden a una zona de autodepuración, denominada como “de degradación”, caracterizada por una alta concentración de materia orgánica, aún en su estado complejo, pero susceptible de ser descompuesta.
En cuanto al parámetro de GyA, se observó que la concentración permaneció constante antes y después del vertimiento, con un valor de 9,99 mg/L. Aunque no se evidenció un incremento, este parámetro reviste importancia, ya que un aumento en su concentración podría afectar negativamente los procesos metabólicos de los microorganismos aerobios, al dificultar la transferencia de oxígeno entre el agua y la atmósfera. Esta interferencia comprometería la biodegradabilidad de la materia orgánica, particularmente en lo relacionado con la DQO, dado que las grasas y aceites pueden representar entre el 30 % y el 40 % de su contribución total (Roets-Dlamini et al., 2022).
Los resultados fisicoquímicos del río Bermúdez evidencian un comportamiento similar al descrito por Sossou et al. (2024) y Wijekoon et al. (2022) en estudios de cuerpos receptores afectados por descargas de lixiviados, donde se observan incrementos en la demanda biológica de oxígeno (DBO₅), sólidos disueltos totales (SDT) y alcalinidad total (ALT) como respuesta al ingreso de materia orgánica biodegradable y metales pesados. El aumento del pH aguas abajo, asociado a la mezcla de lixiviados jóvenes y viejos, también ha sido reportado por Teng et al. (2021) como un efecto característico de procesos de estabilización biológica del lixiviado, que reducen la solubilidad de metales como Zn, Cu y Pb. En relación a estos hallazgos, Romero Rojas (2021) encontró que las variaciones en acidez y color aparente (CA) están directamente relacionadas con la degradación de materia orgánica y la liberación de compuestos húmicos y fúlvicos, los cuales afectan la transparencia del agua y el equilibrio fotosintético. En conjunto, estos resultados demuestran que las alteraciones observadas en los parámetros analizados no son aisladas, sino consistentes con la dinámica de contaminación típica de ecosistemas acuáticos expuestos a efluentes de rellenos sanitarios y actividades agropecuarias cercanas, confirmando un proceso de autodepuración limitada y una afectación progresiva de la calidad del agua del río Bermúdez.
El análisis de la presencia de metales demuestra que para la variable Al existió un incremento de la concentración de 0,01 mg/L, con valores de 0,025 mg/L aguas arriba y 0,035 mg/L aguas abajo siendo este equivalente a un 28,57 %. Tanto el Zn, con concentraciones constantes de 0,017 mg/L en ambos puntos, como el Pb (0,049 mg/L), el Cu (0,076 mg/L) y el Cd (0,049 mg/L) mostraron niveles estables. En contraste para el Cr, se detectó un aporte del lixiviado tratado de 0,05 mg/L, pasando de 0,23 mg/L a 0,28 mg/L, correspondiente a un incremento porcentual del 17,86 %. Un análisis más profundo de los efectos de los metales analizados se hace a continuación.
Efectos de los metales pesados respecto a la toxicidad
Uno de los criterios considerados para la selección de los metales analizados en esta investigación fue su efecto tóxico sobre los organismos vivos. En este sentido, metales como el Al, Zn, Pb, Cr, Cu y Cd presentan una alta densidad relativa a su masa y son considerados altamente tóxicos incluso en concentraciones reducidas (Gogoi et al., 2024a). Además, tal como lo señalan Azhar et al. (2022), estos elementos se caracterizan por su rápida acumulación, baja o nula biodegradabilidad y persistencia, lo que los constituye en un grave problema ambiental.
Lo expuesto anteriormente se respaldado por Wang y Shi (2001) citado por Gogoi et al. (2024b) que estudió las células eucariotas de las plantas y animales y concluye que la exposición a metales pesados causa daños en las membranas y orgánulos celulares como el retículo endoplásmico, los núcleos y los lisosomas, junto con las enzimas metabólicas, las enzimas de desintoxicación y las enzimas implicadas en la reparación de daños, así mismo, Tchounwou et al. (2012) demuestran que los iones metálicos de estos metales interactúan con las proteínas nucleares y el ADN causando alteraciones del ciclo celular y la apoptosis o la carcinogénesis que es la transformación de las células normales en cancerosas.
Además, Tchounwou et al. (2012) investigaron que los efectos tóxicos, así como la carcinogenicidad de los metales como el Cr, el Cd y el Pb, están interrelacionados con la formación de especies reactivas de oxígeno, así como estrés oxidativo; siendo estos elementos tóxicos sistémicos muy estudiados y capaces de causar daño a múltiples órganos en exposiciones a bajas concentraciones, clasificándose entre los metales prioritarios en la salud pública.
Por consiguiente, el efecto que pueden tener las concentraciones de iones metálicos como el Zn, Cu, y Cd, y el incremento del Cr mediante el aporte de los lixiviados tratados sobre el río Bermúdez, se ha manifestado en el daño de las actividades metabólicas de Allium cepa L, siendo evidente en el lento crecimiento de sus raíces, demostrando su efecto toxico. Este hallazgo es respaldado por Nagajyoti et al. (2010), quienes evaluaron el comportamiento de estos metales en cultivos agrícolas de cebolla, descubriendo que estos metales son potencialmente tóxicos teniendo efectos tanto agudos como crónicos en las plantas expuestas, como es la inhibición del alargamiento de las raíces.
En cuanto a los efectos del Pb sobre la inhibición de las raíces de Allium cepa L., Nagajyoti et al. (2010) señalan que este metal impacta el crecimiento, la morfología, y la actividad general de la planta. Las altas concentraciones de Pb alteran el equilibrio hídrico de la planta, cambiando la permeabilidad de la membrana y afectando su nutrición mineral (Sharma y Dubey, 2005). Sumado a esto, Reddy et al. (2005) y Ayangbenro y Babalola (2017), demostraron que el Pb causa estrés oxidativo y clorosis, que es el amarilleo de las partes verdes de una planta debido a la falta de actividad de sus cloroplastos, así como inhibición de la germinación de las semillas junto con las actividades enzimáticas de las plantas.
La presencia de metales pesados como plomo (Pb), cadmio (Cd), cromo (Cr) y cobre (Cu) en cuerpos de agua y sedimentos de zonas rurales y agrícolas en Colombia incrementa de manera significativa la toxicidad ambiental, debido a su capacidad de acumulación, persistencia y bioacumulación en los organismos vivos. Estudios recientes evidencian que más del 55 % de las fuentes hídricas del país exceden los límites permisibles de Pb establecidos por la normativa nacional, lo cual sugiere una exposición ambiental crónica y generalizada (Gómez-Camacho et al., 2023). Asimismo, en la cuenca del río Sinú, se han identificado índices elevados de carga tóxica por metales pesados incluso cuando las concentraciones individuales se encuentran por debajo de los umbrales de riesgo para la salud humana, demostrando que los efectos ecológicos pueden manifestarse en niveles considerados “moderados” (Paternina-Uribe et al., 2022). En el contexto del río Bermúdez, la mezcla de lixiviados tratados con aportes de estos metales genera condiciones propicias para la alteración de procesos celulares, estrés oxidativo y daños en organismos bioindicadores como Allium cepa, los cuales reflejan con alta sensibilidad el impacto de la contaminación metálica sobre la calidad del agua (Tchounwou et al., 2012; Azhar et al., 2022).
Establecimiento de la influencia
de los lixiviados sobre el río Bermúdez
La influencia de los lixiviados en el río Bermúdez se evaluó mediante el cálculo del ICA, asignando mayor peso (wi) de 5 al Pb, Cr, Cd y DBO₅, debido a su alta toxicidad, bioacumulación y potencial cancerígeno, según la OMS (2018). Con puntaje de 4 se valoró al pH, CA, Cu y OD, que cobran especial importancia, ya que los dos primeros influyen en los procesos de potabilización; en donde el agua con una apariencia estéticamente desagradable, genera desconfianza en los consumidores, ocasionando quejas e induciendo al consumo de agua menos segura. El Cu genera efectos sobre la salud a concentraciones superiores a 2 mg/L y un bajo OD está asociado a olores, sabores desagradables y riesgo microbiológico.
Se valoró con un wi de 3 a los SST, SDT, ALT, DC, Zn y Al; en donde las concentraciones de sólidos confieren al agua sabor, turbiedad, color, además de incrustaciones en tuberías, calentadores, calderas y electrodomésticos; la alcalinidad y la dureza afecta la aceptabilidad del agua para consumo doméstico al igual que el Zn y el Al.
La Tabla 5 muestra los resultados del proceso del cálculo del ICA, con sus 14 parámetros, los valores máximos aceptables de la OMS (2018), el peso del parámetro (wi) y el peso relativo (Wi).
Tabla 5. Resultados del proceso de cálculo del ICA
Fuente: elaboración propia.
Después de calcular el ICA aguas arriba y aguas abajo al punto de descarga del vertimiento de lixiviados, aguas arriba con un valor de 285,35 se clasificó como muy mala, mientras que aguas abajo con 305,09, se consideró inapropiada para actividades humanas, dentro de las categorías establecidas por Brown et al. (1970). Estos resultados evidencian que, a pesar de haber sido sometido a un tratamiento previo, el lixiviado descargado continúa aportando compuestos tóxicos que contribuyen al deterioro de la calidad del agua del río.
Los metales pesados como el plomo (Pb) y el cadmio (Cd) son los principales responsables de la disminución del ICA, debido a su alta toxicidad, a pesar de que sus concentraciones se mantuvieron constantes en ambos puntos de muestreo. El Pb, proveniente de baterías, soldaduras y aleaciones, puede liberarse desde residuos en rellenos sanitarios y llegar al agua a través del lixiviado, causando efectos graves sobre la salud humana como daño neurológico, enfermedades cardiovasculares, hipertensión, complicaciones renales y de gestación (OMS, 2018). Por su parte, el Cd, presente en pilas, soldaduras y tuberías, es altamente bioacumulable, especialmente en los riñones, con una permanencia en el organismo entre 10 y 35 años, cuyo efecto crónico se relaciona con distintos tipos de cánceres (OMS, 2018).
El incremento del Cr por el aporte del lixiviado sobre el río Bermúdez, es una de las principales causas del deterioro de la calidad del agua, en altas dosis, el Cr es cancerígeno cuando llega por el tracto digestivo, acumulándose en el estómago y en el tracto intestinal (OMS, 2018). Los valores de referencia aceptados por la OMS indican que el límite máximo permisible es de 0,05 mg/l, cuyo valor coincide con el aporte del lixiviado; teniendo en cuenta que aguas arriba a la descarga presentó un valor de 0,23 mg/l y aguas abajo de 0,28 mg/L.
Cabe resaltar que respecto al incremento de la DBO5, este parámetro cobra especial interés debido al aumento de su concentración en un 47,21 mg/L, esto implica que, si el agua se utiliza en procesos de potabilización, la probabilidad de formación de trihalometanos (THM) aumenta, cuando el cloro entra en contacto con la materia orgánica, pues, según la OMS (2018) la generación de estos compuestos, supone un grave riesgo para el ser humano.
Entre los THM más comunes en el agua potable son el cloroformo, bromoformo, dibromocloroetano y bromodiclorometano, con límites máximos permisibles de 0,3 mg/L, 0,1 mg/L, 0,1 mg/L y 0,06 mg/L, respectivamente (OMS, 2018). Estos compuestos, generados por la reacción del cloro con materia orgánica, representan un riesgo para la salud pública debido a su potencial carcinogénico: el cloroformo se asocia con tumores hepáticos, el bromoformo con cáncer en el intestino grueso, el dibromocloroetano con tumores hepáticos, y el bromodiclorometano con neoplasias en glándulas del epitelio intestinal y células secretoras del colon y recto.
Conclusiones
El bioensayo con Allium cepa L. permitió evidenciar la sensibilidad de este organismo ante la exposición a los lixiviados tratados del Parque Tecnológico Ambiental Antanas (PTAA), mostrando una clara inhibición en el crecimiento radicular. Estos resultados confirman su utilidad como herramienta biológica para evaluar la toxicidad en ecosistemas acuáticos afectados por vertimientos.
Las variaciones observadas en los parámetros fisicoquímicos entre los puntos de muestreo reflejan un deterioro en la calidad del agua del río Bermúdez, principalmente por el aumento del pH, la DBO₅, la alcalinidad total y el cromo. Estos cambios indican la presencia de procesos de contaminación persistente que afectan la estabilidad ecológica del sistema fluvial.
El vertimiento de lixiviados tratados continúa representando una fuente de contaminación que altera las condiciones naturales del río Bermúdez y aumenta la toxicidad del ecosistema. Estos hallazgos evidencian la necesidad de implementar acciones correctivas en la gestión de los lixiviados y fortalecer los programas de monitoreo ambiental en el área de influencia del PTAA.
Agradecimientos
Los autores de este trabajo de investigación le agradecen a la Universidad de Nariño, especialmente, a la Facultad de Ciencias Agrícolas y al programa de Ingeniería Ambiental, por su apoyo tanto en la formación profesional como en el desarrollo de este proyecto.
Potencial conflicto de intereses
Los autores declaran que no existe conflicto de intereses reales o potenciales sobre la investigación realizada.
Consideraciones éticas
Esta investigación se realizó considerando los principios éticos de la normativa nacional. Se obtuvo consentimiento informado de todos los participantes, garantizando la confidencialidad, el anonimato y el uso exclusivo de la información para fines académicos.
Fuentes de financiación.
Este proyecto de investigación fue realizado con recursos propios.
Referencias bibliográficas
Abdel-Shafy, H. I., Ibrahim, A. M., Al-Sulaiman, A. M., & Okasha, R. A. (2024). Landfill leachate: Sources, nature, organic composition, and treatment: An environmental overview. Ain Shams Engineering Journal, 15(1). https://doi.org/10.1016/j.asej.2023.102293
Alcaldía de Pasto. (2019, 30 de julio). Actualización Plan de Gestión Integral de Residuos Sólidos (PGIRS) 2015–2027. https://www.pasto.gov.co/index.php/transparencia/planes-ambientales
Ale, T. O., Ogunribido, T. H., Ademila, O., & Akingboye, A. S. (2024). Soil–water contamination assessment due to dumpsite-impacted leachates in a metamorphic environment. Journal of African Earth Sciences, 216, 105312. https://doi.org/10.1016/j.jafrearsci.2024.105312
Alfaro Vargas, P., & Baizán Rojas, M. (2021). Actividad tripanocida de compuestos purificados de plantas del género Hamelia en modelos experimentales in vitro y establecimiento de la infección crónica con Trypanosoma cruzi en un modelo in vivo [Trabajo de pregrado, Universidad Nacional]. http://hdl.handle.net/11056/21029
Angulo Reyes, R. (2015). Estudio diagnóstico de la ecotoxicidad de afluentes del Río Guadalquivir, en el área comprendida entre Las Tipas y El Angosto de San Luis, Provincia Cercado—Tarija. Acta Nova, 7(1), 28–46. http://www.scielo.org.bo/pdf/ran/v7n1/v7n1_a02.pdf
Arias-Paco, A., Mata-Núñez, M., & Alvarado-Barrantes, R. (2021). Efecto del agua jabonosa sobre el comportamiento de hemípteros semiacuáticos (Gerromorpha) de dos ecosistemas acuáticos neotropicales. Revista de Biología Tropical, 69(3), 873–887. https://revistas.ucr.ac.cr/index.php/rbt/article/view/46018
Ayangbenro, A. S., & Babalola, O. O. (2017). A new strategy for heavy metal polluted environments: A review of microbial biosorbents. International Journal of Environmental Research and Public Health, 14(1). https://doi.org/10.3390/ijerph14010094
Azhar, U., Ahmad, H., Shafqat, H., Babar, M., Munir, H. M. S., Sagir, M., Arif, M., Hassan, A., Rachmadona, N., Rajendran, S., Mubashir, M., & Khoo, K. S. (2022). Remediation techniques for elimination of heavy metal pollutants from soil: A review. Environmental Research, 214, 113918. https://doi.org/10.1016/j.envres.2022.113918
Bhatt, A. H., Altouqi, S., Karanjekar, R. V., Hossain, M. D. S., Chen, V. P., & Sattler, M. S. (2016). Preliminary regression models for estimating first-order rate constants for removal of BOD and COD from landfill leachate. Environmental Technology & Innovation, 5, 188–198. https://doi.org/10.1016/j.eti.2016.02.002
Brown, R. M., McClelland, N. I., Deininger, R. A., & Tozer, R. G. (1970). A water quality index—Do we dare? Water & Sewage Works, 117(10), 339–343.
Castro, D., Martínez, L., & Gómez, R. (2023). Evaluación de la genotoxicidad inducida por algunos metales presentes en aguas fluviales: Un estudio con Allium cepa en el Cesar, Colombia. Revista Colombiana de Ciencias Ambientales y Recursos Naturales, 15(2), 45–58. https://n9.cl/298dmi
Chemos Solutions Through Service. (2021). Ficha de datos de seguridad: Dicromato de potasio. https://www.chemos.de/import/data/msds/ES_es/7778-50-9-A0014348-ES-es.pdf
Corporación Autónoma Regional de Nariño (CORPONARIÑO). (2011). Plan de ordenamiento del recurso hídrico (PORH) del río Bermúdez. https://corponarino.gov.co/expedientes/descontaminacion/porhrecreoysanjuan.pdf
Costa, A. M., Alfaia, R. G. de S. M., & Campos, J. C. (2019). Landfill leachate treatment in Brazil—An overview. Journal of Environmental Management, 232, 110–116. https://doi.org/10.1016/j.jenvman.2018.11.006
EMAS Pasto. (2022). Informe de gestión enero–diciembre 2022. https://www.emaspasto-putumayo.com.co/sites/default/files/public/Emas%20Pasto%20Informe%20Gesti%C3%B3n%202022_compressed.pdf
Espinoza Mena, Y. M. (2020). Uso del Allium cepa como bioindicador in situ en la vigilancia ambiental ciudadana de las características fisicoquímicas del agua superficial en la quebrada Utcuyacu-Catac, periodo 2019–2020.
Fiskesjö, G. (1993). The Allium test in wastewater monitoring. Environmental Toxicology and Water Quality, 8(3), 291–298. https://doi.org/10.1002/tox.2530080306
Ford, A. T., & Ginley, F. (2024). Insights into PFAS contaminants before and after sewage discharges into a marine protected harbour. Chemosphere, 366, 143526. https://doi.org/10.1016/j.chemosphere.2024.143526
Fu, D., Wang, X., Gong, Y., Liu, H., Long, T., Zhou, L., Chen, C., & Liu, H. (2025). Comprehensive evaluation of surface water in the Qujiang River Basin through a newly proposed water quality index combined with positive matrix factorization and hazard quotient/index model. Journal of Environmental Chemical Engineering, 13(3), 116452. https://doi.org/10.1016/j.jece.2025.116452
García, C., Rodríguez, J., & Ospina, L. (2019). Evaluación de la toxicidad aguda en cuerpos de agua de la cuenca del Lago de Tota (Boyacá, Colombia) utilizando Daphnia magna como organismo modelo. Revista de Biología Tropical, 67(1), 11–22. https://www.scielo.sa.cr/scielo.php?pid=S0034-77442019000100011&script=sci_arttext
Gogoi, B., Acharjee, S. A., Bharali, P., Sorhie, V., Walling, B., & Alemtoshi. (2024). A critical review on the ecotoxicity of heavy metal on multispecies in global context: A bibliometric analysis. Environmental Research, 248, 118280. https://doi.org/10.1016/j.envres.2024.118280
Goss-Sampson, M. A., & Meneses, J. (2019). Análisis estadístico con JASP: Una guía para estudiantes. Universitat Oberta de Catalunya. https://openaccess.uoc.edu/handle/10609/102926
Gunarathne, V., Phillips, A. J., Zanoletti, A., Rajapaksha, A. U., Vithanage, M., Di Maria, F., Pivato, A., Korzeniewska, E., & Bontempi, E. (2024). Environmental pitfalls and associated human health risks and ecological impacts from landfill leachate contaminants: Current evidence, recommended interventions and future directions. Science of the Total Environment, 912, 169026. https://doi.org/10.1016/j.scitotenv.2023.169026
Han, Z., Zhang, S., He, L., & Zhu, B. (2025). Predicting and investigating water quality index by robust machine learning methods. Journal of Environmental Management, 381, 125156. https://doi.org/10.1016/j.jenvman.2025.125156
Hernández Pérez, H. M. (2020). Evaluación de la aplicación de microalgas para el tratamiento de lixiviados de rellenos sanitarios: Revisión de literatura [Trabajo de pregrado, Universidad Zamorano]. https://bdigital.zamorano.edu/handle/11036/6769
Hernández Vargas, O., Mancilla Villa, O. R., Palomera García, C., Olguín López, J. L., Flores Magdaleno, H., Cam Chulim, Á., Ortega Escobar, H. M., & Sánchez Bernal, E. I. (2020). Evaluación de la calidad del agua y de la ribera en dos cuencas tributarias del Río Tuxcacuesco, Jalisco, México. Revista Internacional de Contaminación Ambiental, 36(3). https://www.scielo.org.mx/scielo.php?script=sci_arttext&pid=S0188-49992020000300689
Herrera-Muñoz, J., Ibáñez, M., Calzadilla, W., Cabrera-Reina, A., García, V., Salazar-González, R., Hernández, F., Campos-Mañas, M., & Miralles-Cuevas, S. (2024). Assessment of contaminants of emerging concern and antibiotic resistance genes in the Mapocho River (Chile): A comprehensive study on water quality and municipal wastewater impact. Science of the Total Environment, 954, 176198. https://doi.org/10.1016/j.scitotenv.2024.176198
Hilario Quispe, M. R., & Mamani Torres, L. (2021). Variación del índice de calidad de agua aplicando la metodología ICA-PE del río Escalera, en el distrito de Huachocolpa, provincia de Huancavelica durante el período 2015–2018. http://repositorio.unh.edu.pe/handle/UNH/3465
Hossain, M. N., Howladar, M. F., Ahammed, S., Haque, M. R., Khan, M. I., Hasan, M., Chowdhury, T. R., & Hosain, A. (2025). Application of multi-indexing approach within a GIS framework to investigate the quality and contamination of ground water in Barisal Sadar, Bangladesh. Heliyon, 11(3), e42262. https://doi.org/10.1016/j.heliyon.2025.e42262
Ibrahim, A., & Yaser, A. Z. (2019). Colour removal from biologically treated landfill leachate with tannin-based coagulant. Journal of Environmental Chemical Engineering, 7(6), 103483. https://doi.org/10.1016/j.jece.2019.103483
Instituto de Hidrología, Meteorología y Estudios Ambientales. (2021). Protocolo de monitoreo y seguimiento del agua 2021. https://natura.org.co/wp-content/uploads/2022/06/Protocolo-de-Monitoreo-y-Seguimiento-del-Agua.pdf
Instituto de Hidrología, Meteorología y Estudios Ambientales (IDEAM). (2007). Ficha técnica: Sistema de Información del Medio Ambiente (SIMA). https://www.dane.gov.co/files/investigaciones/pib/ambientales/Sima/DemandaBioquimica.pdf
Lee, H., Park, S., Nguyen, H. V.-M., & Shin, H.-S. (2023). Proposal for a new customization process for a data-based water quality index using a random forest approach. Environmental Pollution, 323, 121222. https://doi.org/10.1016/j.envpol.2023.121222
León Semblantes, J. W. (2023). Aprovechamiento y conservación de los recursos hídricos para el consumo humano de un afluente del sector Santa Elena declarado como área hídrica, ubicada en el Cantón Latacunga, Provincia de Cotopaxi [Trabajo de maestría, Universidad Técnica de Cotopaxi]. https://repositorio.utc.edu.ec/server/api/core/bitstreams/298f1cf0-2d14-4929-9540-f4a1e839fb22/content
López Guerrero, A. F., & Sánchez Ortiz, I. A. (2015). Postratamiento en escala piloto del lixiviado del relleno sanitario Antanas (Pasto-Nariño) por filtración-adsorción con arena, antracita y carbón activado. Revista de Ingeniería, 43, 10–15. https://doi.org/10.16924/riua.v0i43.840
Marselina, M., Rahmi, N. A., & Nurhayati, S. A. (2025). The water quality of the Upper Citarum: Applying the overall index of pollution, Said-WQI, and pollution index methods. Heliyon, 11(2), e41690. https://doi.org/10.1016/j.heliyon.2025.e41690
Martín de Miguel, M. (2021). Bioindicadores en la evaluación de la exposición y los efectos tóxicos inducidos por contaminantes ambientales [Trabajo de pregrado, Universidad de Zaragoza]. https://zaguan.unizar.es/record/108092
Miao, L., Yang, G., Tao, T., & Peng, Y. (2019). Recent advances in nitrogen removal from landfill leachate using biological treatments—A review. Journal of Environmental Management, 235, 178–185. https://doi.org/10.1016/j.jenvman.2019.01.057
Montgomery, D. C. (2017). Design and analysis of experiments (9th ed.). John Wiley & Sons.
Muschket, M., Neuwald, I. J., Zahn, D., Seelig, A. H., Kuckelkorn, J., Knepper, T. P., & Reemtsma, T. (2024). Fate of persistent and mobile chemicals in the water cycle: From municipal wastewater discharges to river bank filtrate. Water Research, 266, 122436. https://doi.org/10.1016/j.watres.2024.122436
Nagajyoti, P. C., Lee, K. D., & Sreekanth, T. V. M. (2010). Heavy metals, occurrence and toxicity for plants: A review. Environmental Chemistry Letters, 8(3), 199–216. https://doi.org/10.1007/s10311-010-0297-8
Nong, X., He, F., Chen, L., & Wei, J. (2025). Integrated machine learning-based optimization framework for surface water quality index comparing coastal and non-coastal cases of Guangxi, China. Marine Pollution Bulletin, 213, 117564. https://doi.org/10.1016/j.marpolbul.2025.117564
Paternina-Uribe, R., Flórez, A., & Orozco, J. (2022). Evaluación de la carga tóxica de metales pesados en la cuenca del río Sinú, Colombia. Scientia et Technica, 27(3), 63–75. https://revistas.javeriana.edu.co/index.php/scientarium/article/view/36129
Qin, C., He, J., Yu, C., Sun, A., Li, K., Hu, H., Hu, T., Ye, Y., Yu, Y., & Wang, H. (2025). Evaluating the water quality of the rice–fish co-culture pattern based on the modified NSF water quality index model. Aquaculture, 597, 741931. https://doi.org/10.1016/j.aquaculture.2024.741931
Reddy, A. M., Kumar, S. G., Jyothsnakumari, G., Thimmanaik, S., & Sudhakar, C. (2005). Lead-induced changes in antioxidant metabolism of horsegram (Macrotyloma uniflorum [Lam.] Verdc.) and bengalgram (Cicer arietinum L.). Chemosphere, 60(1), 97–104. https://doi.org/10.1016/j.chemosphere.2004.11.092
Roets-Dlamini, Y., Moonsamy, G., Lalloo, R., & Ramchuran, S. (2022). Use of Bacillus spp. in the bioremediation of fats, oils and grease (FOGs), and other residual substrates in food processing effluents. Biocatalysis and Agricultural Biotechnology, 42, 102351. https://doi.org/10.1016/j.bcab.2022.102351
Romero Rojas, J. A. (2021). Tratamiento de aguas residuales industriales: Teoría y principios de diseño. Universidad Escuela Colombiana de Ingeniería Julio Garavito.
World Health Organization. (2018). Guidelines for drinking-water quality (4th ed., incorporating the 1st addendum). World Health Organization. https://iris.who.int/handle/10665/272403
Sánchez-Bain, A., Forget, G., Feola, G., & Ronco, A. (2004). Ensayos toxicológicos y métodos de evaluación de calidad de aguas: Estandarización, intercalibración, resultados y aplicaciones. CIID. http://hdl.handle.net/10625/26391
Sharma, P., & Dubey, R. S. (2005). Lead toxicity in plants. Brazilian Journal of Plant Physiology, 17, 35–52. https://doi.org/10.1590/S1677-04202005000100004
Sossou, K., Bala Prasad, S., Agbotsou, K. E., Saidou Souley, H., & Mudigandla, R. (2024). Characteristics of landfill leachate and leachate treatment by biological and advanced coagulation process: Feasibility and effectiveness—An overview. Waste Management Bulletin, 2(2), 181–198. https://doi.org/10.1016/j.wmb.2024.04.009
Sossou, S., Kpoton, A., & Adjovi, E. (2024). Assessment of heavy metals and organic load from landfill leachate in tropical aquatic systems. Environmental Monitoring and Assessment, 196(3), 1–14. https://doi.org/10.1007/s10661-024-11902-7
Von Sperling, M., & Sánchez Ortíz, I. A. (2019). Principios del tratamiento biológico de aguas residuales (Vol. 2). Universidad de Nariño.
Tchounwou, P. B., Yedjou, C. G., Patlolla, A. K., & Sutton, D. J. (2012). Heavy metal toxicity and the environment. In A. Luch (Ed.), Molecular, clinical and environmental toxicology: Volume 3: Environmental toxicology (pp. 133–164). Springer. https://doi.org/10.1007/978-3-7643-8340-4_6
Teng, C., Zhou, K., Peng, C., & Chen, W. (2021). Characterization and treatment of landfill leachate: A review. Water Research, 203, 117525. https://doi.org/10.1016/j.watres.2021.117525
Teng, Z., Li, Y., & Zhang, J. (2021). Evolution of leachate composition and heavy metal mobility in landfill stabilization processes. Journal of Environmental Chemical Engineering, 9(6), 106732. https://doi.org/10.1016/j.jece.2021.106732
UNE. (2013). UNE-EN ISO 6341:2013 Calidad de agua. Determinación de la inhibición de la movilidad de Daphnia magna Straus (Cladocera, Crustacea). Ensayo de toxicidad aguda. https://www.une.org/encuentra-tu-norma/busca-tu-norma/norma?c=N0051030
Wang, S., & Shi, X. (2001). Molecular mechanisms of metal toxicity and carcinogenesis. Molecular and Cellular Biochemistry, 222(1–2), 3–9. https://pubmed.ncbi.nlm.nih.gov/11678608/
Wijekoon, P., Koliyabandara, P. A., Cooray, A. T., Lam, S. S., Athapattu, B. C. L., & Vithanage, M. (2022). Progress and prospects in mitigation of landfill leachate pollution: Risk, pollution potential, treatment and challenges. Journal of Hazardous Materials, 421, 126627. https://doi.org/10.1016/j.jhazmat.2021.126627
Yang, W., Wang, F., Que, Q., Fang, C., Ao, F., Xu, Z., & Chu, W. (2025). Urban stormwater discharge contributes more micropollutants to surface water in humid regions of China: Comparison with treated wastewater. Water Research, 268, 122712. https://doi.org/10.1016/j.watres.2024.122712
Zar, J. H. (2010). Biostatistical analysis (5th ed.). Pearson.
Zagatto, P. A., Bertoletti, E., & Goldstein, E. G. (1988). Toxicidade de efluentes industriais da bacia do rio Piracicaba. Revista Ambiente, 2(1).
Zhou, Z., Wu, F., Tong, Y., Zhang, S., Li, L., Cheng, F., Zhang, B., Zeng, X., Yu, Z., & You, J. (2024). Toxicity and chemical characterization of shale gas wastewater discharged to the receiving water: Evidence from toxicity identification evaluation. Science of the Total Environment, 912, 169510. https://doi.org/10.1016/j.scitotenv.2023.169510
1 Ingeniero Ambiental, Universidad de Nariño. San Juan de Pasto, Colombia. Correo electrónico: diegogumon@gmail.com - ORCID: https://orcid.org/0000-0003-2069-4268 - Google Scholar: https://scholar.google.com/citations?user=LjD9i8AAAAAJ&hl=es
2 Ingeniero Ambiental, Universidad de Nariño. San Juan de Pasto, Colombia. Correo electrónico: cristhian051193@gmail.com - ORCID: https://orcid.org/0000-0001-5060-5946 - Google Scholar: https://scholar.google.com/citations?user=Xtp_zJYAAAAJ&hl=es
3 PhD en Genética y Biología Molecular, Magister en Ciencias Agrarias, Ingeniero Agrónomo. Docente, Universidad de Nariño. Correo electrónico: apraez.julian@gmail.com – ORCID: https://orcid.org/0000-0001-7348-0912 - Google Scholar: https://scholar.google.com/citations?user=1iTqbW4AAAAJ&hl=es
Para citar este artículo: Guaitarilla Moncayo, D.F., Muñoz Gómez, C.A, y Apraez Muñoz, J.J. (2026). Incidencia del lixiviado del Parque Tecnológico Ambiental Antanas en la toxicidad del río Bermúdez, departamento de Nariño-Colombia. Revista Luna Azul, (62), p-p. DOI: https://doi.org/10.17151/luaz.2026.62.6
Esta obra está bajo una Licencia de Creative Commons Reconocimiento CC BY
Código
QR del artículo